Контакты E-Mail: PMaxim2006@mail.ru Lolita.Einfeld@yandex.ru VK: id197545744 Instagram: @math_example

Решение задач и примеров

Информация
18.03.2024
Инструкция как оплачивать картой Каспи или Halyk для Казахстана
Прочитать инструкцию

18.03.2024
При добавлении товаров в корзину на сумму от 200 до 500 руб. и оформлении заказа активируется 5 % скидка на оплату, на сумму от 500 руб. активируется 10 % скидка на оплату

22.10.2022
Для Беларуси возможно оплачивать только банковской картой выпущенной в России или картой Белкарт МИР.
Также для Беларуси можно оплачивать Банковской картой Белкарт МИР или картой выпущенной в РФ, ЮMoney перейдя в раздел Решения заданий (digiseller) в меню сайта

23.08.2021
ЮMoney+Банковская карта. Принимаются виды оплат: Карты RU/РФ, ЮMoney-кошелек (Снижена комиссия)
Оплата картой Каспи или Halyk для Казахстана, пишите на почтовый ящик pmaxim2006@mail.ru

23.08.2021
В Digiseller можно найти все решения, что и на fizmathim.ru Перейти в Магазин на Digiseller
Можно воспользоваться формой поиска по первым 3-4 словам. Способы оплаты: Банковская карта (RU/РФ), ЮMoney, Webmoney, Unionpay, Alipay, Скины Steam

26.04.2019
- Все задачи оформлены в текстовом редакторе Microsoft Word, в PDF формате рассылаются решения отдельно.

- Ссылки действительны в течение 24 часов до первой попытки скачать (90 минут с момента первого скачивания).

05.02.2019
- Ссылка на скачивание задач, приходит на указанный вами почтовый ящик при оформлении заказа и его оплаты. Дополнительная рассылка оплаченных заказов на E-mail производится в течение нескольких минут/часов, тема писем имеет вид "Заказ xxxxx".
Форма входа
Главная Магазин готовых задач Высшая Математика Решенные методички

Контрольная работа N3 Вариант 4 Дальневосточный государственный университет путей сообщения (ДВГУПС), Хабаровск 2012 Математика


    90 руб.
  •        Единица: шт.
  •        Размер файла (.doc): 151.0Kb
  • Теги: контрольная, КР3, двгупс, вариант4, математика
    Чтобы получить решение задачи: 1) Нажмите "справа" на кнопку "Купить задачу"Купить задачу сейчас
    2) Выбираете один из удобных способов оплаты (ЮMoney+Банковская карта RU/РФ, ЮMoney-кошелек (Снижена комиссия) Webmoney WMZ-USD; WMB-белорусские рубли). Для Казахстана оплата переводом на карту Каспи или Halyk.
    3) Укажите E-Mail, на него придет ссылка на скачивание оплаченной задачи.
    4) Нажмите на «Оформить заказ», затем «Перейти к оплате»

    Перед покупкой задачи рекомендуем Вам ознакомиться с Примерами решений
    Бесплатные решенные примеры по высшей математике
    Пробная покупка "тестовой задачи" магазина за 3 руб. (проверка оплаты/доставки) и инструкция по оплате через Webmoney, ЮMoney+Банковская карта RU/РФ. Перейти на страницу
    Помимо решений в Word'е, также в e-mail-рассылку входят решения купленных задач в PDF формате для удобства просмотра на смартфонах и планшетах. Письма на e-mail приходят с темой "Заказ xxxxx"
Купить задачу
  • Описание

ВУЗ: Дальневосточный государственный университет путей сообщения (ДВГУПС), Хабаровск 2012
Высшая математика. Методическое пособие по выполнению контрольных работ № 1, 2, 3, 4 для студентов ИИФО специальностей «Эксплуатация железных дорог», «Подвижной состав железной дороги», «Строительство железных дорог, мостов и транспортных тоннелей» и «Наземные транспортно-технологические средства», «Наземные транспортно-технологические средства», «Строительство»
Методичка по математике Дальневосточный государственный университет путей сообщения Скачать файл
Решенные задания из Контрольной работы N3, Вариант 4

Контрольная работа № 3
Производные и элементы исследования функций

Задание 1 к разделу 1
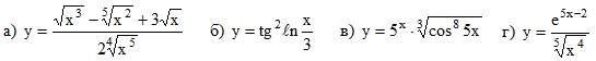
4. Найти производные данных функций:


Задание 1 к разделу 2
4. Исследовать на экстремум:
а) y = x2(x – 6)
б) y=√x/ex

Задание 1 к разделу 3
4. Найти наибольшее и наименьшее значения функции f(x) на отрезке [a;b]:
f(x)=√3x/2 + cosx; [0; π/2]

Подробное решение. Оформлено в Microsoft Word 2003 (Задание решено с использованием редактора формул)

Если не нашли решение своего варианта, вы можете заказать его у нас.
Решение задачи добавил: Massimo, Среда, 21.10.2015

Просмотренные ранее товары

Наблюдатель отсчитывает ширину 10 колец Ньютона вдали от их центра Она оказывается равной 0,7 мм Ширина следующих 10 колец оказывается равной 0,4 мм Наблюдение производится в отраженном свете при
Наблюдатель отсчитывает ширину 10 колец Ньютона вдали от их центра. Она оказывается равной 0,7 мм. Ширина следующих 10 колец оказывается равной 0,4 мм. Наблюдение производится в отраженном свете при длине волны 589 нм. Определить радиус кривизны поверх...
30 руб.

    Равнодействующая двух сил, действующих на материальную точку, F1=F2=2 Н, направленных под углом 600 друг к другу равна.
    Равнодействующая двух сил, действующих на материальную точку, F1=F2=2 Н, направленных под углом 600 друг к другу равна. Подробное решение. Оформлено в Microsoft Word 2003. (Задание решено с использованием редактора формул)
    10 руб.

      Колебательный контур состоит из конденсатора емкостью С = 888 пФ и катушки с индуктивностью L = 2 мГн На какую длину волны λ настроен контур
      Решенная задача по физике. Раздел: Колебания и волны Условие задачи: Колебательный контур состоит из конденсатора емкостью С = 888 пФ и катушки с индуктивностью L = 2 мГн. На какую длину волны λ настроен контур? Подробное решение. Оформлено в Microsoft...
      10 руб.

        Контрольная работа N4 Вариант 4 Дальневосточный государственный университет путей сообщения (ДВГУПС), Хабаровск 2012 Математика
        ВУЗ: Дальневосточный государственный университет путей сообщения (ДВГУПС), Хабаровск 2012 Высшая математика. Методическое пособие по выполнению контрольных работ № 1, 2, 3, 4 для студентов ИИФО специальностей «Эксплуатация железных дорог», «Подвижной с...
        160 руб.

          Радиус-вектор материальной точки изменяется со временем по закону r = 4t2i+ 3tj + 2k Определите 1) скорость υ 2) ускорение а 3) модуль скорости в момент времени t= 2 с
          Решенная задача по физике. Раздел: Кинематика, механика, динамика Условие задачи: Радиус-вектор материальной точки изменяется со временем по закону r = 4t2i+ 3tj + 2k. Определите: 1) скорость υ; 2) ускорение а; 3) модуль скорости в момент времени t= 2 ...
          20 руб.
            Корзина
            Ваша корзина пуста
            Валюта

            • 10 руб. = 0.100 $
            • 1 руб. = 5.000₸
            Поиск в магазине
            Группа Vk.com Рынок цифровых товаров plati.market, игры, игровые аккаунты, itunes, appstore, xbox, steam, ключи, пин-коды Сертификат Webmoney www.webmoney.ru

            Пользовательское соглашение | Договор оферты  ЭЙНФЕЛЬД ЛОЛИТА РИЧАРДОВНА ИНН 502205387028
            Решение контрольных работ по высшей математике
            Fizmathim.ru © 2013 - 2026


            Visa, MasterCard, Мир
            Рейтинг@Mail.ru