Контакты E-Mail: PMaxim2006@mail.ru Lolita.Einfeld@yandex.ru VK: id197545744 Instagram: @math_example

Решение задач и примеров

Информация
18.03.2024
Инструкция как оплачивать картой Каспи или Halyk для Казахстана
Прочитать инструкцию

18.03.2024
При добавлении товаров в корзину на сумму от 200 до 500 руб. и оформлении заказа активируется 5 % скидка на оплату, на сумму от 500 руб. активируется 10 % скидка на оплату

22.10.2022
Для Беларуси возможно оплачивать только банковской картой выпущенной в России или картой Белкарт МИР.
Также для Беларуси можно оплачивать Банковской картой Белкарт МИР или картой выпущенной в РФ, ЮMoney перейдя в раздел Решения заданий (digiseller) в меню сайта

23.08.2021
ЮMoney+Банковская карта. Принимаются виды оплат: Карты RU/РФ, ЮMoney-кошелек (Снижена комиссия)
Оплата картой Каспи или Halyk для Казахстана, пишите на почтовый ящик pmaxim2006@mail.ru

23.08.2021
В Digiseller можно найти все решения, что и на fizmathim.ru Перейти в Магазин на Digiseller
Можно воспользоваться формой поиска по первым 3-4 словам. Способы оплаты: Банковская карта (RU/РФ), ЮMoney, Webmoney, Unionpay, Alipay, Скины Steam

26.04.2019
- Все задачи оформлены в текстовом редакторе Microsoft Word, в PDF формате рассылаются решения отдельно.

- Ссылки действительны в течение 24 часов до первой попытки скачать (90 минут с момента первого скачивания).

05.02.2019
- Ссылка на скачивание задач, приходит на указанный вами почтовый ящик при оформлении заказа и его оплаты. Дополнительная рассылка оплаченных заказов на E-mail производится в течение нескольких минут/часов, тема писем имеет вид "Заказ xxxxx".
Форма входа
Главная Магазин готовых задач Высшая Математика Решенные методички

Контрольная работа N4 Вариант 2 Дальневосточный государственный университет путей сообщения (ДВГУПС), Хабаровск 2012 Математика


    160 руб.
  •        Единица: шт.
  •        Размер файла (.doc): 284.5Kb
  • Теги: КР4, Вариант2, контрольная, двгупс, математика
    Чтобы получить решение задачи: 1) Нажмите "справа" на кнопку "Купить задачу"Купить задачу сейчас
    2) Выбираете один из удобных способов оплаты (ЮMoney+Банковская карта RU/РФ, ЮMoney-кошелек (Снижена комиссия) Webmoney WMZ-USD; WMB-белорусские рубли). Для Казахстана оплата переводом на карту Каспи или Halyk.
    3) Укажите E-Mail, на него придет ссылка на скачивание оплаченной задачи.
    4) Нажмите на «Оформить заказ», затем «Перейти к оплате»

    Перед покупкой задачи рекомендуем Вам ознакомиться с Примерами решений
    Бесплатные решенные примеры по высшей математике
    Пробная покупка "тестовой задачи" магазина за 3 руб. (проверка оплаты/доставки) и инструкция по оплате через Webmoney, ЮMoney+Банковская карта RU/РФ. Перейти на страницу
    Помимо решений в Word'е, также в e-mail-рассылку входят решения купленных задач в PDF формате для удобства просмотра на смартфонах и планшетах. Письма на e-mail приходят с темой "Заказ xxxxx"
Купить задачу
  • Описание

ВУЗ: Дальневосточный государственный университет путей сообщения (ДВГУПС), Хабаровск 2012
Высшая математика. Методическое пособие по выполнению контрольных работ № 1, 2, 3, 4 для студентов ИИФО специальностей «Эксплуатация железных дорог», «Подвижной состав железной дороги», «Строительство железных дорог, мостов и транспортных тоннелей» и «Наземные транспортно-технологические средства», «Наземные транспортно-технологические средства», «Строительство»
Методичка по математике Дальневосточный государственный университет путей сообщения Скачать файл
Решенные задания из Контрольной работы N4, Вариант 2

Контрольная работа № 4
Неопределённый и определённый интегралы

Задание 1 к разделу 1
Неопределенный интеграл


Задание 2 к разделу 1


Задание 3 к разделу 1


Задание 4 к разделу 1


Задание 1 к разделу 2
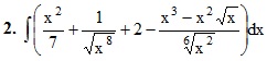
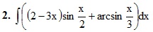
2. Вычислить:


Задание 1 к разделу 3
2. Вычислить площадь, ограниченную линиями:
а) y = x2 – 9x + 18; y = 8 – 2x
б) y = 2x – x2; y = x2 – 4x

Подробное решение. Оформлено в Microsoft Word 2003 (Задание решено с использованием редактора формул)

Если не нашли решение своего варианта, вы можете заказать его у нас.
Решение задачи добавил: Massimo, Суббота, 24.10.2015

Просмотренные ранее товары

При некоторой силе тока I плотность энергии ω магнитного поля соленоида (без сердечника) равна 0,2 Дж/м3 Во сколько раз увеличится плотность энергии поля при той же силе тока если соленоид будет име
Решенная задача по физике. Раздел: Магнетизм. Электромагнетизм Условие задачи: При некоторой силе тока I плотность энергии ω магнитного поля соленоида (без сердечника) равна 0,2 Дж/м3. Во сколько раз увеличится плотность энергии поля при той же силе то...
30 руб.

    Два параллельно соединенных элемента с одинаковыми ЭДС ε1 = ε2 =2 В и внутренними сопротивлениями r1 = 1 Ом и r2 = 1,5 Ом замкнуты на внешнее сопротивление R = 1,4 Ом Найти ток в каждом из элементов
    Решенная задача по физике. Раздел: Электростатика. Электричество и постоянный ток. Условие задачи: Два параллельно соединенных элемента с одинаковыми ЭДС ε1 = ε2 =2 В и внутренними сопротивлениями r1 = 1 Ом и r2 = 1,5 Ом, замкнуты на внешнее сопротивле...
    30 руб.

      Магнитный поток через контур из проволоки с электрическим сопротивлением 2 Ом равномерно уменьшился от 3∙10−4 Вб до 0 Какой заряд при этом прошел через поперечное сечение проводника
      Решенная задача по физике. Раздел: Магнетизм. Электромагнетизм Условие задачи: Магнитный поток через контур из проволоки с электрическим сопротивлением 2 Ом равномерно уменьшился от 3∙10−4 Вб до 0. Какой заряд при этом прошел через поперечное сечение п...
      30 руб.

        Вероятность сбоя в работе телефонной станции при каждом вызове равна p=0,005 Поступило n=600 вызовов Определить вероятность k=9 сбоев
        Решенная задача по теории вероятностей и математической статистике. Условие задачи: 880. Вероятность "сбоя" в работе телефонной станции при каждом вызове равна p=0,005. Поступило n=600 вызовов. Определить вероятность k=9 "сбоев". Подробное решение. Офо...
        30 руб.

          Из урны содержащей 15 шаров из которых 7 белых и 8 черных наудачу вынимают 6 шаров (без возвращения) Найти вероятности следующих событий А = {все вынутые шары белые} В ={среди вынутых шаров ровно 4 бе
          Решенная задача по теории вероятностей и математической статистике. Условие задачи: 2904. Из урны, содержащей 15 шаров, из которых 7 белых и 8 черных, наудачу вынимают 6 шаров (без возвращения). Найти вероятности следующих событий: А = {все вынутые шар...
          30 руб.
            Корзина
            Ваша корзина пуста
            Валюта

            • 10 руб. = 0.100 $
            • 1 руб. = 5.000₸
            Поиск в магазине
            Группа Vk.com Рынок цифровых товаров plati.market, игры, игровые аккаунты, itunes, appstore, xbox, steam, ключи, пин-коды Сертификат Webmoney www.webmoney.ru

            Пользовательское соглашение | Договор оферты  ЭЙНФЕЛЬД ЛОЛИТА РИЧАРДОВНА ИНН 502205387028
            Решение контрольных работ по высшей математике
            Fizmathim.ru © 2013 - 2026


            Visa, MasterCard, Мир
            Рейтинг@Mail.ru