Контакты E-Mail: PMaxim2006@mail.ru Lolita.Einfeld@yandex.ru VK: id197545744 Instagram: @math_example

Решение задач и примеров

Информация
18.03.2024
Инструкция как оплачивать картой Каспи или Halyk для Казахстана
Прочитать инструкцию

18.03.2024
При добавлении товаров в корзину на сумму от 200 до 500 руб. и оформлении заказа активируется 5 % скидка на оплату, на сумму от 500 руб. активируется 10 % скидка на оплату

22.10.2022
Для Беларуси возможно оплачивать только банковской картой выпущенной в России или картой Белкарт МИР.
Также для Беларуси можно оплачивать Банковской картой Белкарт МИР или картой выпущенной в РФ, ЮMoney перейдя в раздел Решения заданий (digiseller) в меню сайта

23.08.2021
ЮMoney+Банковская карта. Принимаются виды оплат: Карты RU/РФ, ЮMoney-кошелек (Снижена комиссия)
Оплата картой Каспи или Halyk для Казахстана, пишите на почтовый ящик pmaxim2006@mail.ru

23.08.2021
В Digiseller можно найти все решения, что и на fizmathim.ru Перейти в Магазин на Digiseller
Можно воспользоваться формой поиска по первым 3-4 словам. Способы оплаты: Банковская карта (RU/РФ), ЮMoney, Webmoney, Unionpay, Alipay, Скины Steam

26.04.2019
- Все задачи оформлены в текстовом редакторе Microsoft Word, в PDF формате рассылаются решения отдельно.

- Ссылки действительны в течение 24 часов до первой попытки скачать (90 минут с момента первого скачивания).

05.02.2019
- Ссылка на скачивание задач, приходит на указанный вами почтовый ящик при оформлении заказа и его оплаты. Дополнительная рассылка оплаченных заказов на E-mail производится в течение нескольких минут/часов, тема писем имеет вид "Заказ xxxxx".
Форма входа
Главная Магазин готовых задач Высшая Математика Решенные методички

Самостоятельная работа Математический анализ Вариант 7 Уральский государственный экономический университет (УрГЭУ), Екатеринбург 2011 Математика


    200 руб.
  •        Единица: шт.
  •        Размер файла (.doc): 231.5Kb
  • Теги: вариант7, самостоятельная работа, математика, УрГЭУ
    Чтобы получить решение задачи: 1) Нажмите "справа" на кнопку "Купить задачу"Купить задачу сейчас
    2) Выбираете один из удобных способов оплаты (ЮMoney+Банковская карта RU/РФ, ЮMoney-кошелек (Снижена комиссия) Webmoney WMZ-USD; WMB-белорусские рубли). Для Казахстана оплата переводом на карту Каспи или Halyk.
    3) Укажите E-Mail, на него придет ссылка на скачивание оплаченной задачи.
    4) Нажмите на «Оформить заказ», затем «Перейти к оплате»

    Перед покупкой задачи рекомендуем Вам ознакомиться с Примерами решений
    Бесплатные решенные примеры по высшей математике
    Пробная покупка "тестовой задачи" магазина за 3 руб. (проверка оплаты/доставки) и инструкция по оплате через Webmoney, ЮMoney+Банковская карта RU/РФ. Перейти на страницу
    Помимо решений в Word'е, также в e-mail-рассылку входят решения купленных задач в PDF формате для удобства просмотра на смартфонах и планшетах. Письма на e-mail приходят с темой "Заказ xxxxx"
Купить задачу
  • Описание

ВУЗ: Уральский государственный экономический университет (УрГЭУ), Екатеринбург 2011
Высшая математика. Раздел «математический анализ» для организации самостоятельной работы студентов заочного отделения
Методичка по математике Уральский государственный экономический университет Скачать файл
Решенные задания из Самостоятельной работы, вариант 7

РАЗДЕЛ «МАТЕМАТИЧЕСКИЙ АНАЛИЗ»
Задание 1. (5 баллов)
7. Вычислить производную сложной функции:


Задание 2. (3 балла)
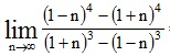
7. Вычислить предел числовой последовательности:


Задание 3. (по 5 баллов за каждый предел)
7. Вычислить предел функций:


Задание 4. (по 5 баллов за каждый интеграл)
7. Вычислить неопределенные интегралы:


Задание 4. (5 баллов)
7. Вычислить определенный интеграл:


Задание 5. (5 баллов)
7. Вычислить несобственный интеграл:


Задание 6. (5 баллов)
Найти общее решение дифференциального уравнения и частное решение, удовлетворяющее начальным условиям (x0=0):
7. y′′− 6y′ + 9y = 4ex; y0=3; y′0=8

Задание 7. (4 балла)
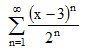
7. Исследовать ряд на сходимость:


Задание 8. (4 балла)
7. Определить область сходимости степенного ряда:


Подробное решение. Оформлено в Microsoft Word 2003 (Задание решено с использованием редактора формул)

Если не нашли решение своего варианта, вы можете заказать его у нас.
Решение задачи добавил: Massimo, Среда, 11.11.2015

Просмотренные ранее товары

На пути электрона с длиной волны де Бройля λ = 1,5 Å находится потенциальный барьер высотой Uo = 40эВ Определить длину волны де Бройля после прохождения барьера
Решенная задача по физике. Раздел: Квантовая, ядерная физика Условие задачи: На пути электрона с длиной волны де Бройля λ = 1,5 Å находится потенциальный барьер высотой U0 = 40эВ. Определить длину волны де Бройля после прохождения барьера Подробное реш...
30 руб.

    Из 40 деталей в ящике 5 бракованных Какова вероятность того что взятые две детали не будут бракованные Решена двумя способами
    Решенная задача по теории вероятностей и математической статистике. Условие задачи: 5144. Из 40 деталей в ящике 5 бракованных. Какова вероятность того, что взятые две детали не будут бракованные? Решена двумя способами. Подробное решение. Оформлено в M...
    30 руб.

      Частота собственных колебаний системы составляет 100 с–1 а коэффициент затухания – 40 с–1 Определить частоту свободных колебаний этой системы
      Решенная задача по физике. Раздел: Колебания и волны Условие задачи: Частота собственных колебаний системы составляет 100 с–1, а коэффициент затухания – 40 с–1. Определить частоту свободных колебаний этой системы. Подробное решение. Оформлено в Microso...
      20 руб.

        0,7 – вероятность что семя дает всходы 2400 – число посеянных семян Найти а) наивероятнейшее число семян которые дадут всходы б) вероятность наивероятнейшего числа в) вероятность что от 1694 по 1752 с
        Решенная задача по теории вероятностей и математической статистике. Условие задачи: 1572. 0,7 – вероятность, что семя дает всходы, 2400 – число посеянных семян. Найти: а) наивероятнейшее число семян, которые дадут всходы, б) вероятность наивероятнейшег...
        30 руб.
          Корзина
          Ваша корзина пуста
          Валюта

          • 1 руб. = 5.000₸
          • 10 руб. = 0.100 $
          Поиск в магазине
          Группа Vk.com Рынок цифровых товаров plati.market, игры, игровые аккаунты, itunes, appstore, xbox, steam, ключи, пин-коды Сертификат Webmoney www.webmoney.ru

          Пользовательское соглашение | Договор оферты  ЭЙНФЕЛЬД ЛОЛИТА РИЧАРДОВНА ИНН 502205387028
          Решение контрольных работ по высшей математике
          Fizmathim.ru © 2013 - 2026


          Visa, MasterCard, Мир
          Рейтинг@Mail.ru