Контакты E-Mail: PMaxim2006@mail.ru Lolita.Einfeld@yandex.ru VK: id197545744 Instagram: @math_example

Решение задач и примеров

Информация
18.03.2024
Инструкция как оплачивать картой Каспи или Halyk для Казахстана
Прочитать инструкцию

18.03.2024
При добавлении товаров в корзину на сумму от 200 до 500 руб. и оформлении заказа активируется 5 % скидка на оплату, на сумму от 500 руб. активируется 10 % скидка на оплату

22.10.2022
Для Беларуси возможно оплачивать только банковской картой выпущенной в России или картой Белкарт МИР.
Также для Беларуси можно оплачивать Банковской картой Белкарт МИР или картой выпущенной в РФ, ЮMoney перейдя в раздел Решения заданий (digiseller) в меню сайта

23.08.2021
ЮMoney+Банковская карта. Принимаются виды оплат: Карты RU/РФ, ЮMoney-кошелек (Снижена комиссия)
Оплата картой Каспи или Halyk для Казахстана, пишите на почтовый ящик pmaxim2006@mail.ru

23.08.2021
В Digiseller можно найти все решения, что и на fizmathim.ru Перейти в Магазин на Digiseller
Можно воспользоваться формой поиска по первым 3-4 словам. Способы оплаты: Банковская карта (RU/РФ), ЮMoney, Webmoney, Unionpay, Alipay, Скины Steam

26.04.2019
- Все задачи оформлены в текстовом редакторе Microsoft Word, в PDF формате рассылаются решения отдельно.

- Ссылки действительны в течение 24 часов до первой попытки скачать (90 минут с момента первого скачивания).

05.02.2019
- Ссылка на скачивание задач, приходит на указанный вами почтовый ящик при оформлении заказа и его оплаты. Дополнительная рассылка оплаченных заказов на E-mail производится в течение нескольких минут/часов, тема писем имеет вид "Заказ xxxxx".
Форма входа
Главная Магазин готовых задач Решаем на заказ Ряды

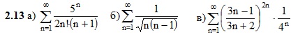
Заказ N0016 Математика Математический анализ Числовые ряды Исследовать ряд на сходимость


    80 руб.
  •        Единица: шт.
  •        Размер файла (.doc): 101.5Kb

  • Чтобы получить решение задачи: 1) Нажмите "справа" на кнопку "Купить задачу"Купить задачу сейчас
    2) Выбираете один из удобных способов оплаты (ЮMoney+Банковская карта RU/РФ, ЮMoney-кошелек (Снижена комиссия) Webmoney WMZ-USD; WMB-белорусские рубли). Для Казахстана оплата переводом на карту Каспи или Halyk.
    3) Укажите E-Mail, на него придет ссылка на скачивание оплаченной задачи.
    4) Нажмите на «Оформить заказ», затем «Перейти к оплате»

    Перед покупкой задачи рекомендуем Вам ознакомиться с Примерами решений
    Бесплатные решенные примеры по высшей математике
    Пробная покупка "тестовой задачи" магазина за 3 руб. (проверка оплаты/доставки) и инструкция по оплате через Webmoney, ЮMoney+Банковская карта RU/РФ. Перейти на страницу
    Помимо решений в Word'е, также в e-mail-рассылку входят решения купленных задач в PDF формате для удобства просмотра на смартфонах и планшетах. Письма на e-mail приходят с темой "Заказ xxxxx"
Купить задачу
  • Описание

Решенное на заказ задание по математике

Вариант 13

I. Найти сумму ряда


II. Исследовать ряд на сходимость


III. Выяснить, какие из знакочередующихся рядов сходятся абсолютно, какие условно, какие расходятся.


Подробное решение. Оформлено в Microsoft Word 2003 (Задание решено с использованием редактора формул)
Решение подобного задания, вы можете заказать у нас
Решение задачи добавил: Massimo, Суббота, 21.11.2015

Просмотренные ранее товары

Через блок в виде диска массой m0 перекинута нить к концам которой прикреплены грузы массами m1 и m2 m2 > m1 Найти ускорение грузов Трением пренебречь
Решенная задача по физике. Раздел: Кинематика, механика, динамика Условие задачи: Через блок в виде диска массой m0 перекинута нить, к концам которой прикреплены грузы массами m1 и m2 (m2 > m1). Найти ускорение грузов. Трением пренебречь. Подробное реш...
30 руб.

    Магнитный поток Ф соленоида сечением S = 10 см2 равен 10 мкВб Определить объемную плотность ω энергии магнитного поля соленоида Сердечник выполнен из немагнитного материала и магнитное поле во всем
    Решенная задача по физике. Раздел: Магнетизм. Электромагнетизм Условие задачи: Магнитный поток Ф соленоида сечением S = 10 см2 равен 10 мкВб. Определить объемную плотность ω энергии магнитного поля соленоида. Сердечник выполнен из немагнитного материал...
    20 руб.

      Вероятность попадания стрелком в цель равна 0,85 Сделано 7 выстрелов Определить вероятность наивероятнейшего числа промахов
      Решенная задача по теории вероятностей и математической статистике. Условие задачи: 2178. Вероятность попадания стрелком в цель равна 0,85. Сделано 7 выстрелов. Определить вероятность наивероятнейшего числа промахов. Подробное решение. Оформлено в Micr...
      30 руб.

        Электрон движется по круговой траектории с радиусом R = 1 см и скоростью υ = 3∙107 м/с в магнитном поле Найти индукцию поля
        Решенная задача по физике. Раздел: Магнетизм. Электромагнетизм Условие задачи: Электрон движется по круговой траектории с радиусом R = 1 см и скоростью υ = 3∙107 м/с в магнитном поле. Найти индукцию поля. Подробное решение. Оформлено в Microsoft Word 2...
        30 руб.

          Горизонтально расположенный диск проигрывателя вращается с частотой 78 об/мин На него поместили небольшой предмет Предельное расстояние от предмета до оси вращения при котором предмет удерживается
          Решенная задача по физике. Раздел: Механика, кинематика, динамика Условие задачи: Горизонтально расположенный диск проигрывателя вращается с частотой 78 об/мин. На него поместили небольшой предмет. Предельное расстояние от предмета до оси вращения, при...
          20 руб.
            Корзина
            Ваша корзина пуста
            Валюта

            • 10 руб. = 0.100 $
            • 1 руб. = 5.000₸
            Поиск в магазине
            Группа Vk.com Рынок цифровых товаров plati.market, игры, игровые аккаунты, itunes, appstore, xbox, steam, ключи, пин-коды Сертификат Webmoney www.webmoney.ru

            Пользовательское соглашение | Договор оферты  ЭЙНФЕЛЬД ЛОЛИТА РИЧАРДОВНА ИНН 502205387028
            Решение контрольных работ по высшей математике
            Fizmathim.ru © 2013 - 2026


            Visa, MasterCard, Мир
            Рейтинг@Mail.ru