Контакты E-Mail: PMaxim2006@mail.ru Lolita.Einfeld@yandex.ru VK: id197545744 Instagram: @math_example

Решение задач и примеров

Информация
18.03.2024
Инструкция как оплачивать картой Каспи или Halyk для Казахстана
Прочитать инструкцию

18.03.2024
При добавлении товаров в корзину на сумму от 200 до 500 руб. и оформлении заказа активируется 5 % скидка на оплату, на сумму от 500 руб. активируется 10 % скидка на оплату

22.10.2022
Для Беларуси возможно оплачивать только банковской картой выпущенной в России или картой Белкарт МИР.
Также для Беларуси можно оплачивать Банковской картой Белкарт МИР или картой выпущенной в РФ, ЮMoney перейдя в раздел Решения заданий (digiseller) в меню сайта

23.08.2021
ЮMoney+Банковская карта. Принимаются виды оплат: Карты RU/РФ, ЮMoney-кошелек (Снижена комиссия)
Оплата картой Каспи или Halyk для Казахстана, пишите на почтовый ящик pmaxim2006@mail.ru

23.08.2021
В Digiseller можно найти все решения, что и на fizmathim.ru Перейти в Магазин на Digiseller
Можно воспользоваться формой поиска по первым 3-4 словам. Способы оплаты: Банковская карта (RU/РФ), ЮMoney, Webmoney, Unionpay, Alipay, Скины Steam

26.04.2019
- Все задачи оформлены в текстовом редакторе Microsoft Word, в PDF формате рассылаются решения отдельно.

- Ссылки действительны в течение 24 часов до первой попытки скачать (90 минут с момента первого скачивания).

05.02.2019
- Ссылка на скачивание задач, приходит на указанный вами почтовый ящик при оформлении заказа и его оплаты. Дополнительная рассылка оплаченных заказов на E-mail производится в течение нескольких минут/часов, тема писем имеет вид "Заказ xxxxx".
Форма входа
Главная Магазин готовых задач Решаем на заказ Ряды

Заказ N0028 Математика Математический анализ Числовые ряды Найти область сходимости


    80 руб.
  •        Единица: шт.
  •        Размер файла (.doc): 97.0Kb

  • Чтобы получить решение задачи: 1) Нажмите "справа" на кнопку "Купить задачу"Купить задачу сейчас
    2) Выбираете один из удобных способов оплаты (ЮMoney+Банковская карта RU/РФ, ЮMoney-кошелек (Снижена комиссия) Webmoney WMZ-USD; WMB-белорусские рубли). Для Казахстана оплата переводом на карту Каспи или Halyk.
    3) Укажите E-Mail, на него придет ссылка на скачивание оплаченной задачи.
    4) Нажмите на «Оформить заказ», затем «Перейти к оплате»

    Перед покупкой задачи рекомендуем Вам ознакомиться с Примерами решений
    Бесплатные решенные примеры по высшей математике
    Пробная покупка "тестовой задачи" магазина за 3 руб. (проверка оплаты/доставки) и инструкция по оплате через Webmoney, ЮMoney+Банковская карта RU/РФ. Перейти на страницу
    Помимо решений в Word'е, также в e-mail-рассылку входят решения купленных задач в PDF формате для удобства просмотра на смартфонах и планшетах. Письма на e-mail приходят с темой "Заказ xxxxx"
Купить задачу
  • Описание

Решенное на заказ задание по математике

Вариант 17

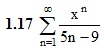
I. Найти область сходимости степенного ряда


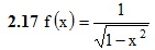
II. Разложить функцию в ряд по степеням x


III. Вычислить приближенное значение.


IV. Найти три первых, отличных от нуля члена разложения в степенной ряд функции y = f(x), являющейся решением заданного дифференциального уравнения.
4.17 y′ = e–2x + 3y2, y(0) = 0

Подробное решение. Оформлено в Microsoft Word 2003 (Задание решено с использованием редактора формул)
Решение подобного задания, вы можете заказать у нас
Решение задачи добавил: Massimo, Вторник, 01.12.2015

Просмотренные ранее товары

В однородном магнитном поле перпендикулярно его силовым линиям расположен прямолинейный медный проводник диаметром d = 3,2 мм по которому течёт ток I = 7 А Плотность меди r = 8900 кг/м3
В однородном магнитном поле перпендикулярно его силовым линиям расположен прямолинейный медный проводник диаметром d = 3,2 мм, по которому течёт ток I = 7 А. Плотность меди r = 8900 кг/м3. Определить индукцию В магнитного поля, если вес проводника урав...
30 руб.

    Сколько трехзначных чисел можно составить из цифр 2, 4, 6, 8 используя в записи числа каждую из них не более одного раза
    Решенная задача по теории вероятностей и математической статистике. Условие задачи: 73. Сколько трехзначных чисел можно составить из цифр 2, 4, 6, 8 используя в записи числа каждую из них не более одного раза? Подробное решение. Оформлено в Microsoft W...
    20 руб.

      Две материальные точки движутся согласно уравнениям x1 = A1•t + B1•t2 + C1•t3 и x2 = A2•t + B2•t2 + C2•t3 где А1 = 4 м/с; B1 = 4 м/с2; С1 = -16 м/с3; А2 = 2 м/с; B2 = -4 м/с2; С2 = 1 м/с3. В
      Две материальные точки движутся согласно уравнениям x1 = A1×t + B1×t2 + C1×t3 и x2 = A2×t + B2×t2 + C2×t3, где А1 = 4 м/с; B1 = 4 м/с2; С1 = -16 м/с3; А2 = 2 м/с; B2 = -4 м/с2; С2 = 1 м/с3. В какой момент времени t ускорения этих точек будут одинаковы?...
      30 руб.

        25. Дана смесь диоксида углерода и кислорода объемом 11,2 дм3. Плотность смеси по водороду равна 16,5. Определите объемный состав смеси.
        25. Дана смесь диоксида углерода и кислорода объемом 11,2 дм3. Плотность смеси по водороду равна 16,5. Определите объемный состав смеси. Подробное решение. Оформлено в Microsoft Word 2003
        40 руб.

          Используя табличные данные найти средние квадратические скорости молекул азота и кислорода при нормальных условиях
          Решенная задача по физике. Раздел: Молекулярная физика. Термодинамика Условие задачи: Используя табличные данные, найти средние квадратические скорости молекул азота и кислорода при нормальных условиях. Подробное решение. Оформлено в Microsoft Word 200...
          15 руб.
            Корзина
            Ваша корзина пуста
            Валюта

            • 1 руб. = 5.000₸
            • 10 руб. = 0.100 $
            Поиск в магазине
            Группа Vk.com Рынок цифровых товаров plati.market, игры, игровые аккаунты, itunes, appstore, xbox, steam, ключи, пин-коды Сертификат Webmoney www.webmoney.ru

            Пользовательское соглашение | Договор оферты  ЭЙНФЕЛЬД ЛОЛИТА РИЧАРДОВНА ИНН 502205387028
            Решение контрольных работ по высшей математике
            Fizmathim.ru © 2013 - 2026


            Visa, MasterCard, Мир
            Рейтинг@Mail.ru