Контакты E-Mail: PMaxim2006@mail.ru Lolita.Einfeld@yandex.ru VK: id197545744 Instagram: @math_example

Решение задач и примеров

Информация
18.03.2024
Инструкция как оплачивать картой Каспи или Halyk для Казахстана
Прочитать инструкцию

18.03.2024
При добавлении товаров в корзину на сумму от 200 до 500 руб. и оформлении заказа активируется 5 % скидка на оплату, на сумму от 500 руб. активируется 10 % скидка на оплату

22.10.2022
Для Беларуси возможно оплачивать только банковской картой выпущенной в России или картой Белкарт МИР.
Также для Беларуси можно оплачивать Банковской картой Белкарт МИР или картой выпущенной в РФ, ЮMoney перейдя в раздел Решения заданий (digiseller) в меню сайта

23.08.2021
ЮMoney+Банковская карта. Принимаются виды оплат: Карты RU/РФ, ЮMoney-кошелек (Снижена комиссия)
Оплата картой Каспи или Halyk для Казахстана, пишите на почтовый ящик pmaxim2006@mail.ru

23.08.2021
В Digiseller можно найти все решения, что и на fizmathim.ru Перейти в Магазин на Digiseller
Можно воспользоваться формой поиска по первым 3-4 словам. Способы оплаты: Банковская карта (RU/РФ), ЮMoney, Webmoney, Unionpay, Alipay, Скины Steam

26.04.2019
- Все задачи оформлены в текстовом редакторе Microsoft Word, в PDF формате рассылаются решения отдельно.

- Ссылки действительны в течение 24 часов до первой попытки скачать (90 минут с момента первого скачивания).

05.02.2019
- Ссылка на скачивание задач, приходит на указанный вами почтовый ящик при оформлении заказа и его оплаты. Дополнительная рассылка оплаченных заказов на E-mail производится в течение нескольких минут/часов, тема писем имеет вид "Заказ xxxxx".
Форма входа
Главная Магазин готовых задач Высшая Математика Решебник ИДЗ Рябушко ИДЗ Рябушко Приложения

ИДЗ Рябушко Контрольная работа "Неопределенные интегралы" (2 часа) Вариант 7


    120 руб.
  •        Единица: шт.
  •        Размер файла (.doc): 123.5Kb
  • Теги: интегралы, контрольная, вариант 7, рябушко
    Чтобы получить решение задачи: 1) Нажмите "справа" на кнопку "Купить задачу"Купить задачу сейчас
    2) Выбираете один из удобных способов оплаты (ЮMoney+Банковская карта RU/РФ, ЮMoney-кошелек (Снижена комиссия) Webmoney WMZ-USD; WMB-белорусские рубли). Для Казахстана оплата переводом на карту Каспи или Halyk.
    3) Укажите E-Mail, на него придет ссылка на скачивание оплаченной задачи.
    4) Нажмите на «Оформить заказ», затем «Перейти к оплате»

    Перед покупкой задачи рекомендуем Вам ознакомиться с Примерами решений
    Бесплатные решенные примеры по высшей математике
    Пробная покупка "тестовой задачи" магазина за 3 руб. (проверка оплаты/доставки) и инструкция по оплате через Webmoney, ЮMoney+Банковская карта RU/РФ. Перейти на страницу
    Помимо решений в Word'е, также в e-mail-рассылку входят решения купленных задач в PDF формате для удобства просмотра на смартфонах и планшетах. Письма на e-mail приходят с темой "Заказ xxxxx"
Купить задачу
  • Описание

Сборник индивидуальных заданий по высшей математике Рябушко А.П. Часть 2.
Вариант 7

1. Контрольная работа "Неопределенные интегралы" (2 часа). Раздел: "Приложение", 340 стр.
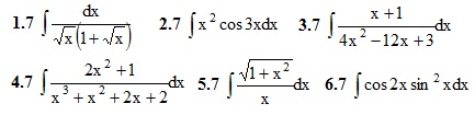
Найти неопределенные интегралы


Подробное решение. Оформлено в Microsoft Word 2003 (Задание решено с использованием редактора формул)
Решение задачи добавил: Massimo, Вторник, 08.12.2015

Просмотренные ранее товары

316. Напишите уравнения диссоциации солей К3[Fe(CN)6] и NH4Fe(SO4)2 в водном растворе. К каждой из них прилили раствор щелочи. В каком случае выпадает осадок гидроксида железа (III)? Напишите молекуля
316. Напишите уравнения диссоциации солей К3[Fe(CN)6] и NH4Fe(SO4)2 в водном растворе. К каждой из них прилили раствор щелочи. В каком случае выпадает осадок гидроксида железа (III)? Напишите молекулярное и ионно-молекулярное уравнения реакции. Какие к...
30 руб.

    311. Составьте координационные формулы следующих комплексных соединений кобальта 3NaNO2∙Co(NO2)3 CoCl3∙3NН3∙2Н2О 2KNO2∙NH3∙Co(NO2)3 Координационное число кобальта (III) равно шести Напишите уравн
    311. Составьте координационные формулы следующих комплексных соединений кобальта: 3NaNO2∙Co(NO2)3, CoCl3∙3NН3∙2Н2О, 2KNO2∙NH3∙Co(NO2)3. Координационное число кобальта (III) равно шести. Напишите уравнения диссоциации этих соединений в водных растворах....
    30 руб.

      235. Могут ли происходить окислительно-восстановительные реакции между веществами: a) NH3 и КМnО4; б) HNO2 и Hl; в) НСI и H2Se? Почему? На основании электронных уравнений расставьте коэффициенты в ура
      235. Могут ли происходить окислительно-восстановительные реакции между веществами: a) NH3 и КМnО4; б) HNO2 и Hl; в) НСI и H2Se? Почему? На основании электронных уравнений расставьте коэффициенты в уравнении реакции, идущей по схеме: КМnО4 + КNО2 + H2SO...
      30 руб.

        424. Какую степень окисления проявляет железо в соединениях? Как можно обнаружить ионы Fe2+ и Fe3+ в растворе? Составьте молекулярные и ионно-молекулярные уравнения реакций.
        424. Какую степень окисления проявляет железо в соединениях? Как можно обнаружить ионы Fe2+ и Fe3+ в растворе? Составьте молекулярные и ионно-молекулярные уравнения реакций. Подробное решение. Оформлено в Microsoft Word 2003
        30 руб.
          Корзина
          Ваша корзина пуста
          Валюта

          • 1 руб. = 5.000₸
          • 10 руб. = 0.100 $
          Поиск в магазине
          Группа Vk.com Рынок цифровых товаров plati.market, игры, игровые аккаунты, itunes, appstore, xbox, steam, ключи, пин-коды Сертификат Webmoney www.webmoney.ru

          Пользовательское соглашение | Договор оферты  ЭЙНФЕЛЬД ЛОЛИТА РИЧАРДОВНА ИНН 502205387028
          Решение контрольных работ по высшей математике
          Fizmathim.ru © 2013 - 2025


          Visa, MasterCard, Мир
          Рейтинг@Mail.ru