Контакты E-Mail: PMaxim2006@mail.ru Lolita.Einfeld@yandex.ru VK: id197545744 Instagram: @math_example

Решение задач и примеров

Информация
18.03.2024
Инструкция как оплачивать картой Каспи или Halyk для Казахстана
Прочитать инструкцию

18.03.2024
При добавлении товаров в корзину на сумму от 200 до 500 руб. и оформлении заказа активируется 5 % скидка на оплату, на сумму от 500 руб. активируется 10 % скидка на оплату

22.10.2022
Для Беларуси возможно оплачивать только банковской картой выпущенной в России или картой Белкарт МИР.
Также для Беларуси можно оплачивать Банковской картой Белкарт МИР или картой выпущенной в РФ, ЮMoney перейдя в раздел Решения заданий (digiseller) в меню сайта

23.08.2021
ЮMoney+Банковская карта. Принимаются виды оплат: Карты RU/РФ, ЮMoney-кошелек (Снижена комиссия)
Оплата картой Каспи или Halyk для Казахстана, пишите на почтовый ящик pmaxim2006@mail.ru

23.08.2021
В Digiseller можно найти все решения, что и на fizmathim.ru Перейти в Магазин на Digiseller
Можно воспользоваться формой поиска по первым 3-4 словам. Способы оплаты: Банковская карта (RU/РФ), ЮMoney, Webmoney, Unionpay, Alipay, Скины Steam

26.04.2019
- Все задачи оформлены в текстовом редакторе Microsoft Word, в PDF формате рассылаются решения отдельно.

- Ссылки действительны в течение 24 часов до первой попытки скачать (90 минут с момента первого скачивания).

05.02.2019
- Ссылка на скачивание задач, приходит на указанный вами почтовый ящик при оформлении заказа и его оплаты. Дополнительная рассылка оплаченных заказов на E-mail производится в течение нескольких минут/часов, тема писем имеет вид "Заказ xxxxx".
Форма входа
Главная Магазин готовых задач Решаем на заказ Интегральное исчисление

Заказ N0017 Математика Математический анализ Неопределенные интегралы


    200 руб.
  •        Единица: шт.
  •        Размер файла (.doc): 321.5Kb

  • Чтобы получить решение задачи: 1) Нажмите "справа" на кнопку "Купить задачу"Купить задачу сейчас
    2) Выбираете один из удобных способов оплаты (ЮMoney+Банковская карта RU/РФ, ЮMoney-кошелек (Снижена комиссия) Webmoney WMZ-USD; WMB-белорусские рубли). Для Казахстана оплата переводом на карту Каспи или Halyk.
    3) Укажите E-Mail, на него придет ссылка на скачивание оплаченной задачи.
    4) Нажмите на «Оформить заказ», затем «Перейти к оплате»

    Перед покупкой задачи рекомендуем Вам ознакомиться с Примерами решений
    Бесплатные решенные примеры по высшей математике
    Пробная покупка "тестовой задачи" магазина за 3 руб. (проверка оплаты/доставки) и инструкция по оплате через Webmoney, ЮMoney+Банковская карта RU/РФ. Перейти на страницу
    Помимо решений в Word'е, также в e-mail-рассылку входят решения купленных задач в PDF формате для удобства просмотра на смартфонах и планшетах. Письма на e-mail приходят с темой "Заказ xxxxx"
Купить задачу
  • Описание

Решенное на заказ задание по математике

Вариант 11
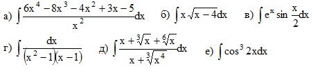
1) Найти интегралы:


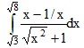
2) Вычислить определенный интеграл


3) Вычислить несобственный интеграл (или доказать его расходимость)


4) Вычислить площадь фигуры, ограниченной графиками функций:
y = (x + 1)2, y2 = x + 1

5) Вычислить площадь фигуры, ограниченной линиями, заданными уравнениями в полярных координатах:
r = 6cos3φ, r =3 (r ≥ 3)

6) Вычислить длину дуги кривой:
y = 2 + chx, 0 ≤ x ≤ 1

7) Вычислить объем тела, образованного вращением фигуры, ограниченной графиками функций: y = x2, y2 – x = 0. Ось вращения – Ох

Подробное решение. Оформлено в Microsoft Word 2003 (Задание решено с использованием редактора формул)
Решение подобного задания, вы можете заказать у нас
Решение задачи добавил: Massimo, Среда, 09.12.2015

Просмотренные ранее товары

Во сколько раз уменьшится активность изотопа 3215P через время t=20 сут
Решенная задача по физике. Раздел: Квантовая, ядерная физика Условие задачи: Во сколько раз уменьшится активность изотопа 3215P через время t=20 сут? Подробное решение. Оформлено в Microsoft Word 2003. (Задание решено с использованием редактора формул)
30 руб.
    Корзина
    Ваша корзина пуста
    Валюта

    • 10 руб. = 0.100 $
    • 1 руб. = 5.000₸
    Поиск в магазине
    Группа Vk.com Рынок цифровых товаров plati.market, игры, игровые аккаунты, itunes, appstore, xbox, steam, ключи, пин-коды Сертификат Webmoney www.webmoney.ru

    Пользовательское соглашение | Договор оферты  ЭЙНФЕЛЬД ЛОЛИТА РИЧАРДОВНА ИНН 502205387028
    Решение контрольных работ по высшей математике
    Fizmathim.ru © 2013 - 2026


    Visa, MasterCard, Мир
    Рейтинг@Mail.ru