Контакты E-Mail: PMaxim2006@mail.ru Lolita.Einfeld@yandex.ru VK: id197545744 Instagram: @math_example

Решение задач и примеров

Информация
18.03.2024
Инструкция как оплачивать картой Каспи или Halyk для Казахстана
Прочитать инструкцию

18.03.2024
При добавлении товаров в корзину на сумму от 200 до 500 руб. и оформлении заказа активируется 5 % скидка на оплату, на сумму от 500 руб. активируется 10 % скидка на оплату

22.10.2022
Для Беларуси возможно оплачивать только банковской картой выпущенной в России или картой Белкарт МИР.
Также для Беларуси можно оплачивать Банковской картой Белкарт МИР или картой выпущенной в РФ, ЮMoney перейдя в раздел Решения заданий (digiseller) в меню сайта

23.08.2021
ЮMoney+Банковская карта. Принимаются виды оплат: Карты RU/РФ, ЮMoney-кошелек (Снижена комиссия)
Оплата картой Каспи или Halyk для Казахстана, пишите на почтовый ящик pmaxim2006@mail.ru

23.08.2021
В Digiseller можно найти все решения, что и на fizmathim.ru Перейти в Магазин на Digiseller
Можно воспользоваться формой поиска по первым 3-4 словам. Способы оплаты: Банковская карта (RU/РФ), ЮMoney, Webmoney, Unionpay, Alipay, Скины Steam

26.04.2019
- Все задачи оформлены в текстовом редакторе Microsoft Word, в PDF формате рассылаются решения отдельно.

- Ссылки действительны в течение 24 часов до первой попытки скачать (90 минут с момента первого скачивания).

05.02.2019
- Ссылка на скачивание задач, приходит на указанный вами почтовый ящик при оформлении заказа и его оплаты. Дополнительная рассылка оплаченных заказов на E-mail производится в течение нескольких минут/часов, тема писем имеет вид "Заказ xxxxx".
Форма входа
Главная Магазин готовых задач Высшая Математика Решебник ИДЗ Рябушко ИДЗ Рябушко Приложения

ИДЗ Рябушко Контрольная работа "Неопределенные интегралы" (2 часа) Вариант 21


    120 руб.
  •        Единица: шт.
  •        Размер файла (.doc): 143.0Kb
  • Теги: интегралы, контрольная, рябушко, вариант 21
    Чтобы получить решение задачи: 1) Нажмите "справа" на кнопку "Купить задачу"Купить задачу сейчас
    2) Выбираете один из удобных способов оплаты (ЮMoney+Банковская карта RU/РФ, ЮMoney-кошелек (Снижена комиссия) Webmoney WMZ-USD; WMB-белорусские рубли). Для Казахстана оплата переводом на карту Каспи или Halyk.
    3) Укажите E-Mail, на него придет ссылка на скачивание оплаченной задачи.
    4) Нажмите на «Оформить заказ», затем «Перейти к оплате»

    Перед покупкой задачи рекомендуем Вам ознакомиться с Примерами решений
    Бесплатные решенные примеры по высшей математике
    Пробная покупка "тестовой задачи" магазина за 3 руб. (проверка оплаты/доставки) и инструкция по оплате через Webmoney, ЮMoney+Банковская карта RU/РФ. Перейти на страницу
    Помимо решений в Word'е, также в e-mail-рассылку входят решения купленных задач в PDF формате для удобства просмотра на смартфонах и планшетах. Письма на e-mail приходят с темой "Заказ xxxxx"
Купить задачу
  • Описание

Сборник индивидуальных заданий по высшей математике Рябушко А.П. Часть 2.
Вариант 21

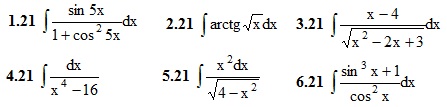
1. Контрольная работа "Неопределенные интегралы" (2 часа). Раздел: "Приложение", 340 стр.
Найти неопределенные интегралы


Подробное решение. Оформлено в Microsoft Word 2003 (Задание решено с использованием редактора формул)
Решение задачи добавил: Massimo, Понедельник, 14.12.2015

Просмотренные ранее товары

Вторичная обмотка трансформатора имеющая 99 витков пронизывается магнитным потоком изменяющимся со временем по закону Ф = 0,01sin100πt Написать формулу выражающую зависимость ЭДС во вторичной
Решенная задача по физике. Раздел: Колебания и волны Условие задачи: Вторичная обмотка трансформатора, имеющая 99 витков, пронизывается магнитным потоком, изменяющимся со временем по закону Ф = 0,01sin100πt. Написать формулу, выражающую зависимость ЭДС...
15 руб.

    212. К раствору Al2(SO4)3 добавили следующие вещества: а) Н2SО4; б) КОН, в) Na2SO3; г) ZnSO4. В каких случаях гидролиз сульфата алюминия усилится? Почему? Составьте ионно-молекулярные уравнения гидрол
    212. К раствору Al2(SO4)3 добавили следующие вещества: а) Н2SО4; б) КОН, в) Na2SO3; г) ZnSO4. В каких случаях гидролиз сульфата алюминия усилится? Почему? Составьте ионно-молекулярные уравнения гидролиза соответствующих солей. Подробное решение. Оформл...
    30 руб.

      Какая ЭДС самоиндукции возбуждается в обмотке электромагнита индуктивностью 0,4 Гн при равномерном изменении силы тока в ней на 5 А за 0,02 с
      Решенная задача по физике. Раздел: Электромагнетизм Условие задачи: Какая ЭДС самоиндукции возбуждается в обмотке электромагнита индуктивностью 0,4 Гн при равномерном изменении силы тока в ней на 5 А за 0,02 с? Подробное решение. Оформлено в Microsoft ...
      10 руб.
        Корзина
        Ваша корзина пуста
        Валюта

        • 1 руб. = 5.000₸
        • 10 руб. = 0.100 $
        Поиск в магазине
        Группа Vk.com Рынок цифровых товаров plati.market, игры, игровые аккаунты, itunes, appstore, xbox, steam, ключи, пин-коды Сертификат Webmoney www.webmoney.ru

        Пользовательское соглашение | Договор оферты  ЭЙНФЕЛЬД ЛОЛИТА РИЧАРДОВНА ИНН 502205387028
        Решение контрольных работ по высшей математике
        Fizmathim.ru © 2013 - 2025


        Visa, MasterCard, Мир
        Рейтинг@Mail.ru