Контакты E-Mail: PMaxim2006@mail.ru Lolita.Einfeld@yandex.ru VK: id197545744 Instagram: @math_example

Решение задач и примеров

Информация
18.03.2024
Инструкция как оплачивать картой Каспи или Halyk для Казахстана
Прочитать инструкцию

18.03.2024
При добавлении товаров в корзину на сумму от 200 до 500 руб. и оформлении заказа активируется 5 % скидка на оплату, на сумму от 500 руб. активируется 10 % скидка на оплату

22.10.2022
Для Беларуси возможно оплачивать только банковской картой выпущенной в России или картой Белкарт МИР.
Также для Беларуси можно оплачивать Банковской картой Белкарт МИР или картой выпущенной в РФ, ЮMoney перейдя в раздел Решения заданий (digiseller) в меню сайта

23.08.2021
ЮMoney+Банковская карта. Принимаются виды оплат: Карты RU/РФ, ЮMoney-кошелек (Снижена комиссия)
Оплата картой Каспи или Halyk для Казахстана, пишите на почтовый ящик pmaxim2006@mail.ru

23.08.2021
В Digiseller можно найти все решения, что и на fizmathim.ru Перейти в Магазин на Digiseller
Можно воспользоваться формой поиска по первым 3-4 словам. Способы оплаты: Банковская карта (RU/РФ), ЮMoney, Webmoney, Unionpay, Alipay, Скины Steam

26.04.2019
- Все задачи оформлены в текстовом редакторе Microsoft Word, в PDF формате рассылаются решения отдельно.

- Ссылки действительны в течение 24 часов до первой попытки скачать (90 минут с момента первого скачивания).

05.02.2019
- Ссылка на скачивание задач, приходит на указанный вами почтовый ящик при оформлении заказа и его оплаты. Дополнительная рассылка оплаченных заказов на E-mail производится в течение нескольких минут/часов, тема писем имеет вид "Заказ xxxxx".
Форма входа
Главная Магазин готовых задач Решаем на заказ Контрольные на заказ

Заказ N0012 Математика контрольные задания (решение индивидуальных заданий по математике)


    290 руб.
  •        Единица: шт.
  •        Размер файла (.doc): 521.5Kb

  • Чтобы получить решение задачи: 1) Нажмите "справа" на кнопку "Купить задачу"Купить задачу сейчас
    2) Выбираете один из удобных способов оплаты (ЮMoney+Банковская карта RU/РФ, ЮMoney-кошелек (Снижена комиссия) Webmoney WMZ-USD; WMB-белорусские рубли). Для Казахстана оплата переводом на карту Каспи или Halyk.
    3) Укажите E-Mail, на него придет ссылка на скачивание оплаченной задачи.
    4) Нажмите на «Оформить заказ», затем «Перейти к оплате»

    Перед покупкой задачи рекомендуем Вам ознакомиться с Примерами решений
    Бесплатные решенные примеры по высшей математике
    Пробная покупка "тестовой задачи" магазина за 3 руб. (проверка оплаты/доставки) и инструкция по оплате через Webmoney, ЮMoney+Банковская карта RU/РФ. Перейти на страницу
    Помимо решений в Word'е, также в e-mail-рассылку входят решения купленных задач в PDF формате для удобства просмотра на смартфонах и планшетах. Письма на e-mail приходят с темой "Заказ xxxxx"
Купить задачу
  • Описание

Решенная на заказ контрольная работа по математике

1) Даны векторы а = − i + 5•3k, b = −3i + 2j + 2k, c = −2•3i − 4j +k.
Необходимо: а) вычислить смешанное произведение трех векторов 3а, −4b, 2с; б) найти модуль векторного произведения векторов 7а, −3с; в) вычислить скалярное произведение двух векторов 2b, 3a; г) проверить, будут ли коллинеарными или ортогональными два вектора b, c; д) проверить, будут ли компланарны три вектора 7a, 2b, −3c.

2) Даны вершины треугольника А, В, С. Найти:
а) уравнение стороны АВ;
б) уравнение высоты CH;
в) уравнение медианы АМ;
г) точку N пересечения медианы АМ и высоты CH;
д) уравнение прямой, проходящей через вершину С параллельно стороне АВ;
е) расстояние от точки С до прямой АВ;

А(4; −4), В(8; 2), С(3; 8)

3) Составить канонические уравнения: а) эллипса; б) гиперболы; в) параболы (А, В – точки, лежащие на кривой, F – фокус, а – большая (действительная) полуось, b – малая (мнимая) полуось, ԑ - эксцентриситет, y = ±kx – уравнение асимптот гиперболы, D – директриса кривой, 2с – фокусное расстояние); если:
а) A(0;√3), B(√14/3, 1), б) k = √21/10, в) D: y = −4

4) Записать уравнение окружности, проходящей через фокусы гиперболы 4x2 – 5y2 = 80 и имеющей центр в точке А(0; −4).

5) Построить кривую, заданную уравнением в полярной системе координат r = 4sin3φ

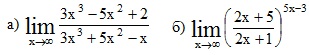
6) Найти предел функции


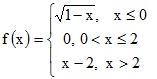
7) Исследовать данную функцию на непрерывность и построить ее график


8) Найти производную функции


9) Найти максимальную прибыль, которую может получить фирма-производитель, при условии, что весь товар реализуется по фиксированной цене р за единицу и известен вид функции издержек С(х).
C(x)=x/2+x3/3, p=16,5

10) Провести полное исследование функции и построить ее график
y=(1−x)3/(x−2)2

Подробное решение. Оформлено в Microsoft Word 2003 (Задание решено с использованием редактора формул)
Решение подобного задания, вы можете заказать у нас
Решение задачи добавил: Massimo, Понедельник, 14.12.2015

Просмотренные ранее товары

Заказ N0003 Математика Математический анализ Числовые ряды Исследовать ряд на сходимость
Решенное на заказ задание по математике I. Найти сумму ряда II. Исследовать ряд на сходимость III. Выяснить, какие из знакочередующихся рядов сходятся абсолютно, какие условно, какие расходятся. Подробное решение. Оформлено в Microsoft Word 2003 (Задан...
80 руб.

    x̅=2000 n=5 s=40 По выборке объема n=5 из нормально распределенной генеральной совокупности найдены значения x̅в=2000 и s=40 Построить интервальную оценку для математического ожидания с надежностью γ
    Решенная задача по теории вероятностей и математической статистике. Условие задачи: 5739. По выборке объема n=5 из нормально распределенной генеральной совокупности найдены значения x̅в=2000 и s=40. Построить интервальную оценку для математического ожи...
    30 руб.
      Корзина
      Ваша корзина пуста
      Валюта

      • 1 руб. = 5.000₸
      • 10 руб. = 0.100 $
      Поиск в магазине
      Группа Vk.com Рынок цифровых товаров plati.market, игры, игровые аккаунты, itunes, appstore, xbox, steam, ключи, пин-коды Сертификат Webmoney www.webmoney.ru

      Пользовательское соглашение | Договор оферты  ЭЙНФЕЛЬД ЛОЛИТА РИЧАРДОВНА ИНН 502205387028
      Решение контрольных работ по высшей математике
      Fizmathim.ru © 2013 - 2026


      Visa, MasterCard, Мир
      Рейтинг@Mail.ru