Контакты E-Mail: PMaxim2006@mail.ru Lolita.Einfeld@yandex.ru VK: id197545744 Instagram: @math_example

Решение задач и примеров

Информация
18.03.2024
Инструкция как оплачивать картой Каспи или Halyk для Казахстана
Прочитать инструкцию

18.03.2024
При добавлении товаров в корзину на сумму от 200 до 500 руб. и оформлении заказа активируется 5 % скидка на оплату, на сумму от 500 руб. активируется 10 % скидка на оплату

22.10.2022
Для Беларуси возможно оплачивать только банковской картой выпущенной в России или картой Белкарт МИР.
Также для Беларуси можно оплачивать Банковской картой Белкарт МИР или картой выпущенной в РФ, ЮMoney перейдя в раздел Решения заданий (digiseller) в меню сайта

23.08.2021
ЮMoney+Банковская карта. Принимаются виды оплат: Карты RU/РФ, ЮMoney-кошелек (Снижена комиссия)
Оплата картой Каспи или Halyk для Казахстана, пишите на почтовый ящик pmaxim2006@mail.ru

23.08.2021
В Digiseller можно найти все решения, что и на fizmathim.ru Перейти в Магазин на Digiseller
Можно воспользоваться формой поиска по первым 3-4 словам. Способы оплаты: Банковская карта (RU/РФ), ЮMoney, Webmoney, Unionpay, Alipay, Скины Steam

26.04.2019
- Все задачи оформлены в текстовом редакторе Microsoft Word, в PDF формате рассылаются решения отдельно.

- Ссылки действительны в течение 24 часов до первой попытки скачать (90 минут с момента первого скачивания).

05.02.2019
- Ссылка на скачивание задач, приходит на указанный вами почтовый ящик при оформлении заказа и его оплаты. Дополнительная рассылка оплаченных заказов на E-mail производится в течение нескольких минут/часов, тема писем имеет вид "Заказ xxxxx".
Форма входа
Главная Магазин готовых задач Решаем на заказ Дифференциальные уравнения

Заказ N0016 Математика Математический анализ Решите дифференциальные уравнения


    220 руб.
  •        Единица: шт.
  •        Размер файла (.doc): 389.0Kb

  • Чтобы получить решение задачи: 1) Нажмите "справа" на кнопку "Купить задачу"Купить задачу сейчас
    2) Выбираете один из удобных способов оплаты (ЮMoney+Банковская карта RU/РФ, ЮMoney-кошелек (Снижена комиссия) Webmoney WMZ-USD; WMB-белорусские рубли). Для Казахстана оплата переводом на карту Каспи или Halyk.
    3) Укажите E-Mail, на него придет ссылка на скачивание оплаченной задачи.
    4) Нажмите на «Оформить заказ», затем «Перейти к оплате»

    Перед покупкой задачи рекомендуем Вам ознакомиться с Примерами решений
    Бесплатные решенные примеры по высшей математике
    Пробная покупка "тестовой задачи" магазина за 3 руб. (проверка оплаты/доставки) и инструкция по оплате через Webmoney, ЮMoney+Банковская карта RU/РФ. Перейти на страницу
    Помимо решений в Word'е, также в e-mail-рассылку входят решения купленных задач в PDF формате для удобства просмотра на смартфонах и планшетах. Письма на e-mail приходят с темой "Заказ xxxxx"
Купить задачу
  • Описание

Решенное на заказ задание по математике

Вариант 1
Проинтегрировать уравнения:

1) (xy2 + x)dx + (x2y – y)dy = 0

2) (x + 2y)dx = xdy

3) (1 + x2)y′ − 2xy = (1 + x2)2

4) (4x3ey + y4ex)dx + (x4ey + 4y3ex)dy = 0

5) x3y´´ + x2y´ = 1

6) y′′ + 3y′ + 2y = 0, y(0) = 2, y′(0) = −3

7) y′′ − y′ + 2y = ex(x2 – 1)

8) y′′ + 3y′ + 2y = e−x•(1/(ex + 2))

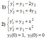
Решить системы уравнений:



Подробное решение. Оформлено в Microsoft Word 2003 (Задание решено с использованием редактора формул)
Решение подобного задания, вы можете заказать у нас
Решение задачи добавил: Massimo, Вторник, 15.12.2015

Просмотренные ранее товары

378. Какой объем раствора КОН с массовой долей 12 % (ρ = 1,11 г/cм3)
378. Какой объем раствора КОН с массовой долей 12 % (ρ = 1,11 г/cм3) надо взять для приготовления 250 cм3 2М раствора? Подробное решение. Оформлено в Microsoft Word 2003. (Задание решено с использованием редактора формул)
40 руб.

    Вычислите массу иода, который выделится при пропускании 3,36 л хлора (н. у.) через раствор, содержащий 15 г иодида натрия.
    Вычислите массу иода, который выделится при пропускании 3,36 л хлора (н. у.) через раствор, содержащий 15 г иодида натрия. Подробное решение. Оформлено в Microsoft Word 2003. (Задание решено с использованием редактора формул)
    30 руб.

      842. Векторы а и b взаимно перпендикулярны Зная что |а| = 3 |b| = 4 Вычислить 1) |(а + b)(а − b)| 2) |(3а−b)(а−2b)|
      Готовое решение задания со сборника задач по аналитической геометрии Д.В. Клетеник Глава 7. Векторная алгебра. Условие задачи: 842. Векторы а и b взаимно перпендикулярны. Зная, что |а| = 3, |b| = 4. Вычислить: 1) |(а + b)(а − b)|; 2) |(3а−b)(а−2b)|. По...
      20 руб.

        1248. Доказать что если система уравнений совместна то
        Готовое решение задания со сборника задач по аналитической геометрии Д.В. Клетеник Элементы теории определителей. Условие задачи: 1248. Доказать, что если система уравнений совместна, то Подробное решение. Оформлено в Microsoft Word 2003 (Задание решен...
        15 руб.

          Определить плотность тока если за 2 с через проводник сечением 1,6 мм2 прошло 2•1019 электронов
          Решенная задача по физике. Раздел: Электростатика. Электричество и постоянный ток. Условие задачи: Определить плотность тока, если за 2 с через проводник сечением 1,6 мм2 прошло 2•1019 электронов. Подробное решение. Оформлено в Microsoft Word 2003. (За...
          20 руб.
            Корзина
            Ваша корзина пуста
            Валюта

            • 1 руб. = 5.000₸
            • 10 руб. = 0.100 $
            Поиск в магазине
            Группа Vk.com Рынок цифровых товаров plati.market, игры, игровые аккаунты, itunes, appstore, xbox, steam, ключи, пин-коды Сертификат Webmoney www.webmoney.ru

            Пользовательское соглашение | Договор оферты  ЭЙНФЕЛЬД ЛОЛИТА РИЧАРДОВНА ИНН 502205387028
            Решение контрольных работ по высшей математике
            Fizmathim.ru © 2013 - 2026


            Visa, MasterCard, Мир
            Рейтинг@Mail.ru