Контакты E-Mail: PMaxim2006@mail.ru Lolita.Einfeld@yandex.ru VK: id197545744 Instagram: @math_example

Решение задач и примеров

Информация
18.03.2024
Инструкция как оплачивать картой Каспи или Halyk для Казахстана
Прочитать инструкцию

18.03.2024
При добавлении товаров в корзину на сумму от 200 до 500 руб. и оформлении заказа активируется 5 % скидка на оплату, на сумму от 500 руб. активируется 10 % скидка на оплату

22.10.2022
Для Беларуси возможно оплачивать только банковской картой выпущенной в России или картой Белкарт МИР.
Также для Беларуси можно оплачивать Банковской картой Белкарт МИР или картой выпущенной в РФ, ЮMoney перейдя в раздел Решения заданий (digiseller) в меню сайта

23.08.2021
ЮMoney+Банковская карта. Принимаются виды оплат: Карты RU/РФ, ЮMoney-кошелек (Снижена комиссия)
Оплата картой Каспи или Halyk для Казахстана, пишите на почтовый ящик pmaxim2006@mail.ru

23.08.2021
В Digiseller можно найти все решения, что и на fizmathim.ru Перейти в Магазин на Digiseller
Можно воспользоваться формой поиска по первым 3-4 словам. Способы оплаты: Банковская карта (RU/РФ), ЮMoney, Webmoney, Unionpay, Alipay, Скины Steam

26.04.2019
- Все задачи оформлены в текстовом редакторе Microsoft Word, в PDF формате рассылаются решения отдельно.

- Ссылки действительны в течение 24 часов до первой попытки скачать (90 минут с момента первого скачивания).

05.02.2019
- Ссылка на скачивание задач, приходит на указанный вами почтовый ящик при оформлении заказа и его оплаты. Дополнительная рассылка оплаченных заказов на E-mail производится в течение нескольких минут/часов, тема писем имеет вид "Заказ xxxxx".
Форма входа
Главная Магазин готовых задач Высшая Математика Решенные методички

Контрольная работа Вариант 8 Таблица 2 Российский государственный аграрный заочный университет» (ФГБОУ ВПО РГАЗУ) Математика Москва 2011


    270 руб.
  •        Единица: шт.
  •        Размер файла (.doc): 647.5Kb
  • Теги: вариант8, контрольная, математика, РГАЗУ
    Чтобы получить решение задачи: 1) Нажмите "справа" на кнопку "Купить задачу"Купить задачу сейчас
    2) Выбираете один из удобных способов оплаты (ЮMoney+Банковская карта RU/РФ, ЮMoney-кошелек (Снижена комиссия) Webmoney WMZ-USD; WMB-белорусские рубли). Для Казахстана оплата переводом на карту Каспи или Halyk.
    3) Укажите E-Mail, на него придет ссылка на скачивание оплаченной задачи.
    4) Нажмите на «Оформить заказ», затем «Перейти к оплате»

    Перед покупкой задачи рекомендуем Вам ознакомиться с Примерами решений
    Бесплатные решенные примеры по высшей математике
    Пробная покупка "тестовой задачи" магазина за 3 руб. (проверка оплаты/доставки) и инструкция по оплате через Webmoney, ЮMoney+Банковская карта RU/РФ. Перейти на страницу
    Помимо решений в Word'е, также в e-mail-рассылку входят решения купленных задач в PDF формате для удобства просмотра на смартфонах и планшетах. Письма на e-mail приходят с темой "Заказ xxxxx"
Купить задачу
  • Описание

ВУЗ: Российский государственный аграрный заочный университет (ФГБОУ ВПО РГАЗУ), Москва 2011
Высшая математика. Студентам 1 курса по направлениям подготовки бакалавров 230700 – «Прикладная информатика» Профиль – «Прикладная информатика в экономике» 080200 – «Менеджмент» Профиль – «Финансовый менеджмент» 110700 – «Торговое дело» Профиль – «Коммерция»
Методичка по математике Российский государственный аграрный заочный университет Скачать файл
Решенные задания из Контрольной работы, вариант 8 Таблица 2

18. Даны вершины треугольника ABC.
Найти: 1) длину стороны АВ; 2) уравнения сторон АВ и АС и их угловые коэффициенты; 3) Внутренний угол А в радианах с точностью до 0,01; 4) уравнение высоты CD и ее длину; 5) уравнение окружности, для которой высота CD есть диаметр; 6) систему линейных неравенств, определяющих треугольник АВС.
А(−7; 5), В (5; −4), С(3; 10).

38 Даны координаты точек А, В, С. Требуется: 1) записать векторы AВ и АС в системе орт и найти модули этих векторов; 2) найти угол между векторами АВ и АС; 3) составить уравнение плоскости, проходящее через точку С перпендикулярно вектору АВ.
А (4; 1; 1), B(5; −1,3), С(15; 3; 11).

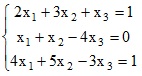
58. Решить систему уравнений двумя способами:
1) при помощи определителей (по формулам Крамера);
2) с помощью обратной матрицы.


78. Найти производные данных функции.


98. Исследовать данные функции методами дифференциального исчисления и построить их графики. Исследование функции рекомендуется проводить по следующей схеме: 1) найти область определения функции; 2) исследовать функцию на непрерывность; 3) определить, является ли данная функция четной, нечетной; 4) найти интервалы возрастания и убывания функции и точки ее экстремума; 5) найти интервалы выпуклости и вогнутости и точки перегиба графика функции; 6) найти асимптоты графика функции.
y=3lnx/x

118. Вычислить неопределенные интегралы.


138. Функцию z=f(x,y) исследовать на экстремум.
z = −2x2 + 8x – y3 + 6xy – 14

158. Найти:
а) общее решение дифференциального уравнения первого порядка;
б) частное решение дифференциального уравнения второго порядка, удовлетворяющее указанным начальным условиям.
а) y'xlnx – y = 3x3ln2x
б) y'' + 2y' = 8x3 + 12x2, y(0) = 2, y'(0) = 0

178. Дан степенной ряд . При заданных значениях а и b написать первые три члена ряда, найти интеграл сходимости ряда и исследовать его сходимость на концах интервала.

Подробное решение. Оформлено в Microsoft Word 2003 (Задание решено с использованием редактора формул)

Если не нашли решение своего варианта, вы можете заказать его у нас.
Решение задачи добавил: Massimo, Воскресенье, 20.12.2015
Корзина
Ваша корзина пуста
Валюта

  • 1 руб. = 5.000₸
  • 10 руб. = 0.100 $
Поиск в магазине
Группа Vk.com Рынок цифровых товаров plati.market, игры, игровые аккаунты, itunes, appstore, xbox, steam, ключи, пин-коды Сертификат Webmoney www.webmoney.ru

Пользовательское соглашение | Договор оферты  ЭЙНФЕЛЬД ЛОЛИТА РИЧАРДОВНА ИНН 502205387028
Решение контрольных работ по высшей математике
Fizmathim.ru © 2013 - 2026


Visa, MasterCard, Мир
Рейтинг@Mail.ru