Контакты E-Mail: PMaxim2006@mail.ru Lolita.Einfeld@yandex.ru VK: id197545744 Instagram: @math_example

Решение задач и примеров

Информация
18.03.2024
Инструкция как оплачивать картой Каспи или Halyk для Казахстана
Прочитать инструкцию

18.03.2024
При добавлении товаров в корзину на сумму от 200 до 500 руб. и оформлении заказа активируется 5 % скидка на оплату, на сумму от 500 руб. активируется 10 % скидка на оплату

22.10.2022
Для Беларуси возможно оплачивать только банковской картой выпущенной в России или картой Белкарт МИР.
Также для Беларуси можно оплачивать Банковской картой Белкарт МИР или картой выпущенной в РФ, ЮMoney перейдя в раздел Решения заданий (digiseller) в меню сайта

23.08.2021
ЮMoney+Банковская карта. Принимаются виды оплат: Карты RU/РФ, ЮMoney-кошелек (Снижена комиссия)
Оплата картой Каспи или Halyk для Казахстана, пишите на почтовый ящик pmaxim2006@mail.ru

23.08.2021
В Digiseller можно найти все решения, что и на fizmathim.ru Перейти в Магазин на Digiseller
Можно воспользоваться формой поиска по первым 3-4 словам. Способы оплаты: Банковская карта (RU/РФ), ЮMoney, Webmoney, Unionpay, Alipay, Скины Steam

26.04.2019
- Все задачи оформлены в текстовом редакторе Microsoft Word, в PDF формате рассылаются решения отдельно.

- Ссылки действительны в течение 24 часов до первой попытки скачать (90 минут с момента первого скачивания).

05.02.2019
- Ссылка на скачивание задач, приходит на указанный вами почтовый ящик при оформлении заказа и его оплаты. Дополнительная рассылка оплаченных заказов на E-mail производится в течение нескольких минут/часов, тема писем имеет вид "Заказ xxxxx".
Форма входа
Главная Магазин готовых задач Решаем на заказ Контрольные на заказ

Заказ N0016 Математика контрольные задания (решение индивидуальных заданий по математике)


    330 руб.
  •        Единица: шт.
  •        Размер файла (.doc): 625.0Kb

  • Чтобы получить решение задачи: 1) Нажмите "справа" на кнопку "Купить задачу"Купить задачу сейчас
    2) Выбираете один из удобных способов оплаты (ЮMoney+Банковская карта RU/РФ, ЮMoney-кошелек (Снижена комиссия) Webmoney WMZ-USD; WMB-белорусские рубли). Для Казахстана оплата переводом на карту Каспи или Halyk.
    3) Укажите E-Mail, на него придет ссылка на скачивание оплаченной задачи.
    4) Нажмите на «Оформить заказ», затем «Перейти к оплате»

    Перед покупкой задачи рекомендуем Вам ознакомиться с Примерами решений
    Бесплатные решенные примеры по высшей математике
    Пробная покупка "тестовой задачи" магазина за 3 руб. (проверка оплаты/доставки) и инструкция по оплате через Webmoney, ЮMoney+Банковская карта RU/РФ. Перейти на страницу
    Помимо решений в Word'е, также в e-mail-рассылку входят решения купленных задач в PDF формате для удобства просмотра на смартфонах и планшетах. Письма на e-mail приходят с темой "Заказ xxxxx"
Купить задачу
  • Описание

Решенная на заказ контрольная работа по математике

Контрольная работа №1
«Аналитическая геометрия и линейная алгебра»
Вариант 24

Задание 1.
Дана система линейных уравнений

Доказать её совместность и решить двумя способами: 1) Методом Гаусса; 2) средствами матричного исчисления.

Задание 2.
Даны векторы a(2,14,6), b(6,8,4), c(8,16,10), и d(14,64,28) в некотором базисе. Показать, что векторы а, b, с образуют базис, и найти координаты вектора d в этом базисе.

Задание 3.
Даны координаты вершины пирамиды А1А2А3А4:
A1(2,−1,1), A2(5,5,4), A3(3,2,−1), A4(4,1,3)
Найти: 1) длину ребра А1А2; 2) угол между ребрами А1А2 и А1А4; 3) угол между ребром А1А4 и гранью А1А2А3; 4) площадь грани А1А2А3; 5) объем пирамиды; 6) уравнение прямой А1А2; 7) уравнение плоскости А1А2А3; 8) уравнение высоты, опущенной из вершины А4 на грань А1А2А3. Сделать чертеж.

Задание 4.
Составить уравнение сторон и медиан треугольника с вершинами А(3; 2), В(5;−2), С(1;0). Сделать чертеж.

Задание 5.
Написать уравнение геометрического места точек, разность расстояний каждой из которых от точек F1(−2; −2) и F2(2; 2) равна 4. Построить линию.

Задание 6.
Линия задана уравнением в полярной системе координат r=12/(2−cosφ)
Требуется: 1) построить линию по точкам, начиная от φ=0 до φ=2π и придавая φ значения через промежуток π/8; 2)найти уравнение данной линии в декартовой прямоугольной системе координат, у которой начало совпадает с полюсом, а положительная полуось абсцисс – с полярной осью; 3) по уравнению в декартовой прямоугольной системе координат определить, какая это линия.

Задание 7.
Даны два линейных преобразования:

Средствами матричного исчисления найти преобразование, выражающее x′′1, x′′2, x′′3 через x1, x2, x3.

Задание 8.
Найти собственные значения и собственные векторы линейного преобразования, заданного в некотором базисе матрицей А.


Задание 9.
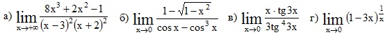
Найти пределы функции, не пользуясь правилом Лопиталя.


Задание 10.
Дано комплексное число z = 3/4i. Требуется 1) записать число z в алгебраической и тригонометрической формах; 2) найти все корни уравнения w3 + z =0.

Подробное решение. Оформлено в Microsoft Word 2003 (Задание решено с использованием редактора формул)
Решение подобного задания, вы можете заказать у нас
Решение задачи добавил: Massimo, Пятница, 08.01.2016

Просмотренные ранее товары

Монета подброшена 300 раз Найти вероятность того что «герб» появится 150 раз
Решенная задача по теории вероятностей и математической статистике. Условие задачи: 937. Монета подброшена 300 раз. Найти вероятность того, что «герб» появится 150 раз. Подробное решение. Оформлено в Microsoft Word 2003. (Задание решено с использование...
30 руб.

    Студент знает 14 вопросов программы из 20 В билете содержится 3 вопроса Чему равна вероятность того что студент ответит не менее чем на два вопроса из трех
    Решенная задача по теории вероятностей и математической статистике. Условие задачи: 3389. Студент знает 14 вопросов программы из 20. В билете содержится 3 вопроса. Чему равна вероятность того, что студент ответит не менее чем на два вопроса из трех? По...
    30 руб.

      Проводится 100 независимых бросаний монеты Найти вероятность того что герб выпадет от 45 до 55 раз
      Решенная задача по теории вероятностей и математической статистике. Условие задачи: 307. Проводится 100 независимых бросаний монеты. Найти вероятность того, что герб выпадет от 45 до 55 раз. Подробное решение. Оформлено в Microsoft Word 2003. (Задание ...
      30 руб.
        Корзина
        Ваша корзина пуста
        Валюта

        • 10 руб. = 0.100 $
        • 1 руб. = 5.000₸
        Поиск в магазине
        Группа Vk.com Рынок цифровых товаров plati.market, игры, игровые аккаунты, itunes, appstore, xbox, steam, ключи, пин-коды Сертификат Webmoney www.webmoney.ru

        Пользовательское соглашение | Договор оферты  ЭЙНФЕЛЬД ЛОЛИТА РИЧАРДОВНА ИНН 502205387028
        Решение контрольных работ по высшей математике
        Fizmathim.ru © 2013 - 2026


        Visa, MasterCard, Мир
        Рейтинг@Mail.ru