Контакты E-Mail: PMaxim2006@mail.ru Lolita.Einfeld@yandex.ru VK: id197545744 Instagram: @math_example

Решение задач и примеров

Информация
18.03.2024
Инструкция как оплачивать картой Каспи или Halyk для Казахстана
Прочитать инструкцию

18.03.2024
При добавлении товаров в корзину на сумму от 200 до 500 руб. и оформлении заказа активируется 5 % скидка на оплату, на сумму от 500 руб. активируется 10 % скидка на оплату

22.10.2022
Для Беларуси возможно оплачивать только банковской картой выпущенной в России или картой Белкарт МИР.
Также для Беларуси можно оплачивать Банковской картой Белкарт МИР или картой выпущенной в РФ, ЮMoney перейдя в раздел Решения заданий (digiseller) в меню сайта

23.08.2021
ЮMoney+Банковская карта. Принимаются виды оплат: Карты RU/РФ, ЮMoney-кошелек (Снижена комиссия)
Оплата картой Каспи или Halyk для Казахстана, пишите на почтовый ящик pmaxim2006@mail.ru

23.08.2021
В Digiseller можно найти все решения, что и на fizmathim.ru Перейти в Магазин на Digiseller
Можно воспользоваться формой поиска по первым 3-4 словам. Способы оплаты: Банковская карта (RU/РФ), ЮMoney, Webmoney, Unionpay, Alipay, Скины Steam

26.04.2019
- Все задачи оформлены в текстовом редакторе Microsoft Word, в PDF формате рассылаются решения отдельно.

- Ссылки действительны в течение 24 часов до первой попытки скачать (90 минут с момента первого скачивания).

05.02.2019
- Ссылка на скачивание задач, приходит на указанный вами почтовый ящик при оформлении заказа и его оплаты. Дополнительная рассылка оплаченных заказов на E-mail производится в течение нескольких минут/часов, тема писем имеет вид "Заказ xxxxx".
Форма входа
Главная Магазин готовых задач Высшая Математика Решенные методички

Контрольная работа 2 Вариант 1 часть 1 Омский государственный университет путей сообщения Математика Омск 2016


    100 руб.
  •        Единица: шт.
  •        Размер файла (.doc): 445.5Kb
  • Теги: ОмГУПС, Контрольная работа 2, математика, Вариант1
    Чтобы получить решение задачи: 1) Нажмите "справа" на кнопку "Купить задачу"Купить задачу сейчас
    2) Выбираете один из удобных способов оплаты (ЮMoney+Банковская карта RU/РФ, ЮMoney-кошелек (Снижена комиссия) Webmoney WMZ-USD; WMB-белорусские рубли). Для Казахстана оплата переводом на карту Каспи или Halyk.
    3) Укажите E-Mail, на него придет ссылка на скачивание оплаченной задачи.
    4) Нажмите на «Оформить заказ», затем «Перейти к оплате»

    Перед покупкой задачи рекомендуем Вам ознакомиться с Примерами решений
    Бесплатные решенные примеры по высшей математике
    Пробная покупка "тестовой задачи" магазина за 3 руб. (проверка оплаты/доставки) и инструкция по оплате через Webmoney, ЮMoney+Банковская карта RU/РФ. Перейти на страницу
    Помимо решений в Word'е, также в e-mail-рассылку входят решения купленных задач в PDF формате для удобства просмотра на смартфонах и планшетах. Письма на e-mail приходят с темой "Заказ xxxxx"
Купить задачу
  • Описание

ВУЗ: Омский государственный университет путей сообщения
Высшая математика. Часть 1: Учебно-методическое пособие для студентов заочного факультета., Омск 2016
Методичка по математике Омский государственный университет путей сообщения Скачать файл
Решенные задания
Контрольная работа 2
Аналитическая геометрия
Вариант 1

Задача 1. Заданы три точки A(−3; −2), B(2; 8), C(5; 4). Найти: а) общее уравнение прямой АВ и ее угловой коэффициент; б) общие уравнения прямых, проходящих через точку С параллельно и перпендикулярно прямой АВ; в) точки пересечения прямых. Сделать чертеж.

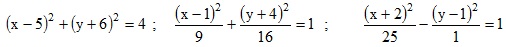
Задача 2. Построить линии, заданные уравнениями второго порядка.


Задача 3. Построить линии: а) заданную параметрическими уравнениями; б) заданную в полярных координатах.
а) x = 5cost; y = sint; б) ρ = −5sinφ

Задача 4. Заданы два комплексных числа: z1 = –5 + 5i; z2 = 1 – 2i.Требуется а) построить эти числа на комплексной плоскости; б) найти модуль и аргумент числа z1, записать его тригонометрическую и показательную формы. Выполнить действия: 3z1 – 5z2; z1∙z2; z2/z1

Подробное решение. Оформлено в Microsoft Word 2003 (Задание решено с использованием редактора формул)

Если не нашли решение своего варианта, вы можете заказать его у нас.
Решение задачи добавил: Massimo, Суббота, 16.01.2016

Просмотренные ранее товары

Контрольная работа 11 Вариант 2 часть 4 Омский государственный университет путей сообщения Математика, Омск 2016
ВУЗ: Омский государственный университет путей сообщения Высшая математика. Часть 4: Учебно-методическое пособие для студентов заочного факультета., Омск 2016 Пособие содержит варианты контрольных заданий по трем разделам дисциплины «Математика»: «Случа...
100 руб.

    На опытной станции посеяно 150 семян кукурузы Всхожесть семян – 95 % Найти вероятность того что взойдет 140 семян
    Решенная задача по теории вероятностей и математической статистике. Условие задачи: 1692. На опытной станции посеяно 150 семян кукурузы. Всхожесть семян – 95 %. Найти вероятность того, что взойдет 140 семян. Подробное решение. Оформлено в Microsoft Wor...
    30 руб.

      Вероятность попадания при одном выстреле 0,8 Что вероятнее попадание 5 раз при 7 выстрелах или не менее 7 раз при 8 выстрелах
      Решенная задача по теории вероятностей и математической статистике. Условие задачи: 2693. Вероятность попадания при одном выстреле 0,8. Что вероятнее: попадание 5 раз при 7 выстрелах или не менее 7 раз при 8 выстрелах. Подробное решение. Оформлено в Mi...
      30 руб.

        Контрольная работа Вариант 6 (6,16,26,36,46,56,66,76,86) часть 2 Тюменский государственный нефтегазовый университет Математика
        ВУЗ: Тюменский государственный нефтегазовый университет (ТюмГНГУ), часть 2, Тюмень 2005 Высшая математика. Методические указания для студентов всех специальностей заочной формы обучения Методичка по математике Тюменский государственный нефтегазовый уни...
        250 руб.

          Контрольная работа 6 Вариант 15 часть 2 Омский государственный университет путей сообщения Математика Омск 2016
          ВУЗ: Омский государственный университет путей сообщения Высшая математика. Часть 2: Учебно-методическое пособие для студентов заочного факультета., Омск 2016 Методичка по математике Омский государственный университет путей сообщения Скачать файл Решенн...
          80 руб.
            Корзина
            Ваша корзина пуста
            Валюта

            • 10 руб. = 0.100 $
            • 1 руб. = 5.000₸
            Поиск в магазине
            Группа Vk.com Рынок цифровых товаров plati.market, игры, игровые аккаунты, itunes, appstore, xbox, steam, ключи, пин-коды Сертификат Webmoney www.webmoney.ru

            Пользовательское соглашение | Договор оферты  ЭЙНФЕЛЬД ЛОЛИТА РИЧАРДОВНА ИНН 502205387028
            Решение контрольных работ по высшей математике
            Fizmathim.ru © 2013 - 2026


            Visa, MasterCard, Мир
            Рейтинг@Mail.ru