Контакты E-Mail: PMaxim2006@mail.ru Lolita.Einfeld@yandex.ru VK: id197545744 Instagram: @math_example

Решение задач и примеров

Информация
18.03.2024
Инструкция как оплачивать картой Каспи или Halyk для Казахстана
Прочитать инструкцию

18.03.2024
При добавлении товаров в корзину на сумму от 200 до 500 руб. и оформлении заказа активируется 5 % скидка на оплату, на сумму от 500 руб. активируется 10 % скидка на оплату

22.10.2022
Для Беларуси возможно оплачивать только банковской картой выпущенной в России или картой Белкарт МИР.
Также для Беларуси можно оплачивать Банковской картой Белкарт МИР или картой выпущенной в РФ, ЮMoney перейдя в раздел Решения заданий (digiseller) в меню сайта

23.08.2021
ЮMoney+Банковская карта. Принимаются виды оплат: Карты RU/РФ, ЮMoney-кошелек (Снижена комиссия)
Оплата картой Каспи или Halyk для Казахстана, пишите на почтовый ящик pmaxim2006@mail.ru

23.08.2021
В Digiseller можно найти все решения, что и на fizmathim.ru Перейти в Магазин на Digiseller
Можно воспользоваться формой поиска по первым 3-4 словам. Способы оплаты: Банковская карта (RU/РФ), ЮMoney, Webmoney, Unionpay, Alipay, Скины Steam

26.04.2019
- Все задачи оформлены в текстовом редакторе Microsoft Word, в PDF формате рассылаются решения отдельно.

- Ссылки действительны в течение 24 часов до первой попытки скачать (90 минут с момента первого скачивания).

05.02.2019
- Ссылка на скачивание задач, приходит на указанный вами почтовый ящик при оформлении заказа и его оплаты. Дополнительная рассылка оплаченных заказов на E-mail производится в течение нескольких минут/часов, тема писем имеет вид "Заказ xxxxx".
Форма входа
Главная Магазин готовых задач Высшая Математика Решенные методички

Контрольная работа №2 Вариант 5 Математический анализ Дальневосточный государственный университет путей сообщения (ДВГУПС) Хабаровск 2012 Математика


    300 руб.
  •        Единица: шт.
  •        Размер файла (.doc): 415.0Kb
  • Теги: математика, двгупс, КР2, контрольная, вариант5
    Чтобы получить решение задачи: 1) Нажмите "справа" на кнопку "Купить задачу"Купить задачу сейчас
    2) Выбираете один из удобных способов оплаты (ЮMoney+Банковская карта RU/РФ, ЮMoney-кошелек (Снижена комиссия) Webmoney WMZ-USD; WMB-белорусские рубли). Для Казахстана оплата переводом на карту Каспи или Halyk.
    3) Укажите E-Mail, на него придет ссылка на скачивание оплаченной задачи.
    4) Нажмите на «Оформить заказ», затем «Перейти к оплате»

    Перед покупкой задачи рекомендуем Вам ознакомиться с Примерами решений
    Бесплатные решенные примеры по высшей математике
    Пробная покупка "тестовой задачи" магазина за 3 руб. (проверка оплаты/доставки) и инструкция по оплате через Webmoney, ЮMoney+Банковская карта RU/РФ. Перейти на страницу
    Помимо решений в Word'е, также в e-mail-рассылку входят решения купленных задач в PDF формате для удобства просмотра на смартфонах и планшетах. Письма на e-mail приходят с темой "Заказ xxxxx"
Купить задачу
  • Описание

ВУЗ: Дальневосточный государственный университет путей сообщения (ДВГУПС), Хабаровск 2012
Высшая математика. Методическое пособие и контрольные задания для студентов ИИФО, обучающихся по направлениям подготовки «Экономика», «Менеджмент». В данной работе даны краткие методические указания и задания для контрольных работ № 1-2, которые выполняются студентами ИИФО.
Методичка по математике Дальневосточный государственный университет путей сообщения Скачать файл
Решенные задания из Контрольной работы N2, Вариант 5

Контрольная работа № 2

5. Найти неопределенные интегралы


15. Вычислить определенный интеграл


25. Используя полярные координаты, вычислить площадь фигуры, ограниченную линиями
ρ = sinφ; ρ = 2sinφ; φ = π/4; φ = π/2

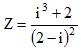
35. Выполнить действия. Комплексное число Z записать в алгебраической форме и построить на комплексной плоскости. Найти Z, ReZ, ImZ, |Z|, argZ, ArgZ


45. Выполнить действия над комплексными числами в тригонометрической форме.
45.1 Z = (i – 3)4
45.2 Z = 3–1–i

55. Найти общее решение дифференциальных уравнений.
55.1 (x + y) + xy′ = 0
55.2 y′ − ytgx = ctgx

65. Найти частное решение дифференциального уравнения, удовлетворяющее начальным условиям.
y′′ + 5y′ + 6y = 12cos2x, y(0) = 1, y′(0) = 3

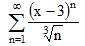
85. Исследовать ряды на сходимость


95. Выяснить абсолютно или условно сходится ряд.


105. Определить интервал сходимости ряда и исследовать сходимость на концах интервала (один первый столбец оставляем)


115. Вычислить определенный интеграл с точностью до 0,001, разложив подынтегральную функцию в ряд, а затем проинтегрировав его почленно.


125. Найти три первых отличных от нуля члена разложения в степенной ряд решения дифференциального уравнения, удовлетворяющего начальному условию.
y′ = ex + y2; y(0) = 0

Подробное решение. Оформлено в Microsoft Word 2003 (Задание решено с использованием редактора формул)

Если не нашли решение своего варианта, вы можете заказать его у нас.
Решение задачи добавил: Massimo, Суббота, 16.01.2016

Просмотренные ранее товары

Квадратная рамка со стороной а = 70 см помещена в однородное магнитное поле так что нормаль к рамке составляет угол α = 45° с направлением силовых линий Магнитное поле меняется по закону В = В0cosωt
Решенная задача по физике. Раздел: Магнетизм. Электромагнетизм Условие задачи: Квадратная рамка со стороной а = 70 см помещена в однородное магнитное поле так, что нормаль к рамке составляет угол α = 45° с направлением силовых линий. Магнитное поле мен...
20 руб.

    Вероятность всхожести семян ржи составляет 90% Чему равна вероятность того что из 6 семян взойдет 4
    Решенная задача по теории вероятностей и математической статистике. Условие задачи: 2601. Вероятность всхожести семян ржи составляет 90%. Чему равна вероятность того, что из 6 семян взойдет 4? Подробное решение. Оформлено в Microsoft Word 2003. (Задани...
    30 руб.

      Равномерно заряженный тонкий диск радиуса R = 80 мм вращается вокруг своей оси с угловой скоростью ω = 60 рад/с Поверхностная плотность заряда σ = 20 мкКл/м2 Определить величину магнитной индукции B
      Решенная задача по физике. Раздел: Магнетизм. Электромагнетизм. Условие задачи: Равномерно заряженный тонкий диск радиуса R = 80 мм вращается вокруг своей оси с угловой скоростью ω = 60 рад/с. Поверхностная плотность заряда σ = 20 мк...
      30 руб.

        Самостоятельная работа Математический анализ Вариант 7 Уральский государственный экономический университет (УрГЭУ), Екатеринбург 2011 Математика
        ВУЗ: Уральский государственный экономический университет (УрГЭУ), Екатеринбург 2011 Высшая математика. Раздел «математический анализ» для организации самостоятельной работы студентов заочного отделения Методичка по математике Уральский государственный ...
        200 руб.

          На пути электрона с длиной волны де Бройля λ = 1,5 Å находится потенциальный барьер высотой Uo = 40эВ Определить длину волны де Бройля после прохождения барьера
          Решенная задача по физике. Раздел: Квантовая, ядерная физика Условие задачи: На пути электрона с длиной волны де Бройля λ = 1,5 Å находится потенциальный барьер высотой U0 = 40эВ. Определить длину волны де Бройля после прохождения барьера Подробное реш...
          30 руб.
            Корзина
            Ваша корзина пуста
            Валюта

            • 1 руб. = 5.000₸
            • 10 руб. = 0.100 $
            Поиск в магазине
            Группа Vk.com Рынок цифровых товаров plati.market, игры, игровые аккаунты, itunes, appstore, xbox, steam, ключи, пин-коды Сертификат Webmoney www.webmoney.ru

            Пользовательское соглашение | Договор оферты  ЭЙНФЕЛЬД ЛОЛИТА РИЧАРДОВНА ИНН 502205387028
            Решение контрольных работ по высшей математике
            Fizmathim.ru © 2013 - 2026


            Visa, MasterCard, Мир
            Рейтинг@Mail.ru