Контакты E-Mail: PMaxim2006@mail.ru Lolita.Einfeld@yandex.ru VK: id197545744 Instagram: @math_example

Решение задач и примеров

Информация
18.03.2024
Инструкция как оплачивать картой Каспи или Halyk для Казахстана
Прочитать инструкцию

18.03.2024
При добавлении товаров в корзину на сумму от 200 до 500 руб. и оформлении заказа активируется 5 % скидка на оплату, на сумму от 500 руб. активируется 10 % скидка на оплату

22.10.2022
Для Беларуси возможно оплачивать только банковской картой выпущенной в России или картой Белкарт МИР.
Также для Беларуси можно оплачивать Банковской картой Белкарт МИР или картой выпущенной в РФ, ЮMoney перейдя в раздел Решения заданий (digiseller) в меню сайта

23.08.2021
ЮMoney+Банковская карта. Принимаются виды оплат: Карты RU/РФ, ЮMoney-кошелек (Снижена комиссия)
Оплата картой Каспи или Halyk для Казахстана, пишите на почтовый ящик pmaxim2006@mail.ru

23.08.2021
В Digiseller можно найти все решения, что и на fizmathim.ru Перейти в Магазин на Digiseller
Можно воспользоваться формой поиска по первым 3-4 словам. Способы оплаты: Банковская карта (RU/РФ), ЮMoney, Webmoney, Unionpay, Alipay, Скины Steam

26.04.2019
- Все задачи оформлены в текстовом редакторе Microsoft Word, в PDF формате рассылаются решения отдельно.

- Ссылки действительны в течение 24 часов до первой попытки скачать (90 минут с момента первого скачивания).

05.02.2019
- Ссылка на скачивание задач, приходит на указанный вами почтовый ящик при оформлении заказа и его оплаты. Дополнительная рассылка оплаченных заказов на E-mail производится в течение нескольких минут/часов, тема писем имеет вид "Заказ xxxxx".
Форма входа
Главная Магазин готовых задач Решаем на заказ Контрольные на заказ

Заказ N0019 Математика контрольные задания (решение индивидуальных заданий по математике)


    140 руб.
  •        Единица: шт.
  •        Размер файла (.doc): 166.5Kb

  • Чтобы получить решение задачи: 1) Нажмите "справа" на кнопку "Купить задачу"Купить задачу сейчас
    2) Выбираете один из удобных способов оплаты (ЮMoney+Банковская карта RU/РФ, ЮMoney-кошелек (Снижена комиссия) Webmoney WMZ-USD; WMB-белорусские рубли). Для Казахстана оплата переводом на карту Каспи или Halyk.
    3) Укажите E-Mail, на него придет ссылка на скачивание оплаченной задачи.
    4) Нажмите на «Оформить заказ», затем «Перейти к оплате»

    Перед покупкой задачи рекомендуем Вам ознакомиться с Примерами решений
    Бесплатные решенные примеры по высшей математике
    Пробная покупка "тестовой задачи" магазина за 3 руб. (проверка оплаты/доставки) и инструкция по оплате через Webmoney, ЮMoney+Банковская карта RU/РФ. Перейти на страницу
    Помимо решений в Word'е, также в e-mail-рассылку входят решения купленных задач в PDF формате для удобства просмотра на смартфонах и планшетах. Письма на e-mail приходят с темой "Заказ xxxxx"
Купить задачу
  • Описание

Решенная на заказ контрольная работа по математике

Вариант 7.1
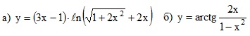
Найти производные функций:


Вариант 6.2
Найти пределы:


7. Исследовать на непрерывность и найти точки разрыва функций (указать их характер):


Подробное решение. Оформлено в Microsoft Word 2003 (Задание решено с использованием редактора формул)
Решение подобного задания, вы можете заказать у нас
Решение задачи добавил: Massimo, Воскресенье, 17.01.2016

Просмотренные ранее товары

Найти удельные ср и сv а также молярные Ср и Сv теплоемкости углекислого газа
Решенная задача по физике. Раздел: Молекулярная физика и термодинамика Условие задачи: Найти удельные сp и сv, а также молярные Сp и Сv теплоемкости углекислого газа. Подробное решение. Оформлено в Microsoft Word 2003. (Задание решено с использованием ...
30 руб.

    Игральную кость бросают 5 раз Какова вероятность что тройка выпадет дважды
    Решенная задача по теории вероятностей и математической статистике. Условие задачи: 3227. Игральную кость бросают 5 раз. Какова вероятность, что тройка выпадет дважды? Подробное решение. Оформлено в Microsoft Word 2003. (Задание решено с использованием...
    30 руб.

      Студент знает 40 из 50 вопросов программы Найти вероятность того что студент знает ответы на предложенные ему все 3 вопроса программы
      Решенная задача по теории вероятностей и математической статистике. Условие задачи: 3348. Студент знает 40 из 50 вопросов программы. Найти вероятность того, что студент знает ответы на предложенные ему все 3 вопроса программы. Подробное решение. Оформл...
      30 руб.

        В урне содержится 13 зеленых 10 желтых 8 белых шаров Найдите вероятность появления цветного шара
        Решенная задача по теории вероятностей и математической статистике. Условие задачи: 3298. В урне содержится 13 зеленых, 10 желтых, 8 белых шаров. Найдите вероятность появления цветного шара. Подробное решение. Оформлено в Microsoft Word 2003. (Задание ...
        20 руб.

          Монета подброшена 300 раз Найти вероятность того что «герб» появится 150 раз
          Решенная задача по теории вероятностей и математической статистике. Условие задачи: 937. Монета подброшена 300 раз. Найти вероятность того, что «герб» появится 150 раз. Подробное решение. Оформлено в Microsoft Word 2003. (Задание решено с использование...
          30 руб.
            Корзина
            Ваша корзина пуста
            Валюта

            • 10 руб. = 0.100 $
            • 1 руб. = 5.000₸
            Поиск в магазине
            Группа Vk.com Рынок цифровых товаров plati.market, игры, игровые аккаунты, itunes, appstore, xbox, steam, ключи, пин-коды Сертификат Webmoney www.webmoney.ru

            Пользовательское соглашение | Договор оферты  ЭЙНФЕЛЬД ЛОЛИТА РИЧАРДОВНА ИНН 502205387028
            Решение контрольных работ по высшей математике
            Fizmathim.ru © 2013 - 2026


            Visa, MasterCard, Мир
            Рейтинг@Mail.ru