Контакты E-Mail: PMaxim2006@mail.ru Lolita.Einfeld@yandex.ru VK: id197545744 Instagram: @math_example

Решение задач и примеров

Информация
18.03.2024
Инструкция как оплачивать картой Каспи или Halyk для Казахстана
Прочитать инструкцию

18.03.2024
При добавлении товаров в корзину на сумму от 200 до 500 руб. и оформлении заказа активируется 5 % скидка на оплату, на сумму от 500 руб. активируется 10 % скидка на оплату

22.10.2022
Для Беларуси возможно оплачивать только банковской картой выпущенной в России или картой Белкарт МИР.
Также для Беларуси можно оплачивать Банковской картой Белкарт МИР или картой выпущенной в РФ, ЮMoney перейдя в раздел Решения заданий (digiseller) в меню сайта

23.08.2021
ЮMoney+Банковская карта. Принимаются виды оплат: Карты RU/РФ, ЮMoney-кошелек (Снижена комиссия)
Оплата картой Каспи или Halyk для Казахстана, пишите на почтовый ящик pmaxim2006@mail.ru

23.08.2021
В Digiseller можно найти все решения, что и на fizmathim.ru Перейти в Магазин на Digiseller
Можно воспользоваться формой поиска по первым 3-4 словам. Способы оплаты: Банковская карта (RU/РФ), ЮMoney, Webmoney, Unionpay, Alipay, Скины Steam

26.04.2019
- Все задачи оформлены в текстовом редакторе Microsoft Word, в PDF формате рассылаются решения отдельно.

- Ссылки действительны в течение 24 часов до первой попытки скачать (90 минут с момента первого скачивания).

05.02.2019
- Ссылка на скачивание задач, приходит на указанный вами почтовый ящик при оформлении заказа и его оплаты. Дополнительная рассылка оплаченных заказов на E-mail производится в течение нескольких минут/часов, тема писем имеет вид "Заказ xxxxx".
Форма входа
Главная Магазин готовых задач Решаем на заказ Контрольные на заказ

Заказ N0021 Математика контрольные задания (решение индивидуальных заданий по математике)


    330 руб.
  •        Единица: шт.
  •        Размер файла (.doc): 632.5Kb

  • Чтобы получить решение задачи: 1) Нажмите "справа" на кнопку "Купить задачу"Купить задачу сейчас
    2) Выбираете один из удобных способов оплаты (ЮMoney+Банковская карта RU/РФ, ЮMoney-кошелек (Снижена комиссия) Webmoney WMZ-USD; WMB-белорусские рубли). Для Казахстана оплата переводом на карту Каспи или Halyk.
    3) Укажите E-Mail, на него придет ссылка на скачивание оплаченной задачи.
    4) Нажмите на «Оформить заказ», затем «Перейти к оплате»

    Перед покупкой задачи рекомендуем Вам ознакомиться с Примерами решений
    Бесплатные решенные примеры по высшей математике
    Пробная покупка "тестовой задачи" магазина за 3 руб. (проверка оплаты/доставки) и инструкция по оплате через Webmoney, ЮMoney+Банковская карта RU/РФ. Перейти на страницу
    Помимо решений в Word'е, также в e-mail-рассылку входят решения купленных задач в PDF формате для удобства просмотра на смартфонах и планшетах. Письма на e-mail приходят с темой "Заказ xxxxx"
Купить задачу
  • Описание

Решенная на заказ контрольная работа по математике

Контрольная работа №1
«Аналитическая геометрия и линейная алгебра»
Вариант 12

Задание 1.
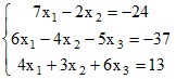
Дана система линейных уравнений

Доказать её совместность и решить двумя способами: 1) Методом Гаусса; 2) средствами матричного исчисления.

Задание 2.
Даны векторы a(5; 1; 4), b(−1; 2; 3), c(−1; 3; 2) и d(0; 14; 16) в некотором базисе. Показать, что векторы а, b, с образуют базис, и найти координаты вектора d в этом базисе.

Задание 3.
Даны координаты вершины пирамиды А1А2А3А4:
A1 2,4,3), A2 7,6,3), A3 4,9,3), A4 3,6,7)
Найти: 1) длину ребра А1А2; 2) угол между ребрами А1А2 и А1А4; 3) угол между ребром А1А4 и гранью А1А2А3; 4) площадь грани А1А2А3; 5) объем пирамиды; 6) уравнение прямой А1А2; 7) уравнение плоскости А1А2А3; 8) уравнение высоты, опущенной из вершины А4 на грань А1А2А3. Сделать чертеж.

Задание 4.
Написать уравнение сторон и найти углы треугольника с вершинами А(1; 1), В(4; 5), С(13; −4). Сделать чертеж.

Задание 5.
Составить уравнение и построить линию, каждая точка которой вдвое ближе к прямой x = 1, чем к точке F(4; 0).

Задание 6.
Линия задана уравнением в полярной системе координат r=1/(2−cosφ)
Требуется: 1) построить линию по точкам, начиная от φ=0 до φ=2π и придавая φ значения через промежуток π/8; 2)найти уравнение данной линии в декартовой прямоугольной системе координат, у которой начало совпадает с полюсом, а положительная полуось абсцисс – с полярной осью; 3) по уравнению в декартовой прямоугольной системе координат определить, какая это линия.

Задание 7.
Даны два линейных преобразования:

Средствами матричного исчисления найти преобразование, выражающее x′′1, x′′2, x′′3 через x1, x2, x3.

Задание 8.
Найти собственные значения и собственные векторы линейного преобразования, заданного в некотором базисе матрицей А.


Задание 9.
Найти пределы функции, не пользуясь правилом Лопиталя.


Задание 10.
Дано комплексное число z = 6/(1−√2i). Требуется 1) записать число z в алгебраической и тригонометрической формах; 2) найти все корни уравнения w3 + z =0.

Подробное решение. Оформлено в Microsoft Word 2003 (Задание решено с использованием редактора формул)
Решение подобного задания, вы можете заказать у нас
Решение задачи добавил: Massimo, Воскресенье, 14.02.2016

Просмотренные ранее товары

Активность некоторого препарата уменьшилась в 2,5 раза за 7 суток Определить период полураспада
Решенная задача по физике. Раздел: Квантовая, ядерная физика Условие задачи: Активность некоторого препарата уменьшилась в 2,5 раза за 7 суток. Определить период полураспада. Подробное решение. Оформлено в Microsoft Word 2003. (Задание решено с использ...
30 руб.
    Корзина
    Ваша корзина пуста
    Валюта

    • 10 руб. = 0.100 $
    • 1 руб. = 5.000₸
    Поиск в магазине
    Группа Vk.com Рынок цифровых товаров plati.market, игры, игровые аккаунты, itunes, appstore, xbox, steam, ключи, пин-коды Сертификат Webmoney www.webmoney.ru

    Пользовательское соглашение | Договор оферты  ЭЙНФЕЛЬД ЛОЛИТА РИЧАРДОВНА ИНН 502205387028
    Решение контрольных работ по высшей математике
    Fizmathim.ru © 2013 - 2026


    Visa, MasterCard, Мир
    Рейтинг@Mail.ru