Контакты E-Mail: PMaxim2006@mail.ru Lolita.Einfeld@yandex.ru VK: id197545744 Instagram: @math_example

Решение задач и примеров

Информация
18.03.2024
Инструкция как оплачивать картой Каспи или Halyk для Казахстана
Прочитать инструкцию

18.03.2024
При добавлении товаров в корзину на сумму от 200 до 500 руб. и оформлении заказа активируется 5 % скидка на оплату, на сумму от 500 руб. активируется 10 % скидка на оплату

22.10.2022
Для Беларуси возможно оплачивать только банковской картой выпущенной в России или картой Белкарт МИР.
Также для Беларуси можно оплачивать Банковской картой Белкарт МИР или картой выпущенной в РФ, ЮMoney перейдя в раздел Решения заданий (digiseller) в меню сайта

23.08.2021
ЮMoney+Банковская карта. Принимаются виды оплат: Карты RU/РФ, ЮMoney-кошелек (Снижена комиссия)
Оплата картой Каспи или Halyk для Казахстана, пишите на почтовый ящик pmaxim2006@mail.ru

23.08.2021
В Digiseller можно найти все решения, что и на fizmathim.ru Перейти в Магазин на Digiseller
Можно воспользоваться формой поиска по первым 3-4 словам. Способы оплаты: Банковская карта (RU/РФ), ЮMoney, Webmoney, Unionpay, Alipay, Скины Steam

26.04.2019
- Все задачи оформлены в текстовом редакторе Microsoft Word, в PDF формате рассылаются решения отдельно.

- Ссылки действительны в течение 24 часов до первой попытки скачать (90 минут с момента первого скачивания).

05.02.2019
- Ссылка на скачивание задач, приходит на указанный вами почтовый ящик при оформлении заказа и его оплаты. Дополнительная рассылка оплаченных заказов на E-mail производится в течение нескольких минут/часов, тема писем имеет вид "Заказ xxxxx".
Форма входа
Главная Магазин готовых задач Высшая Математика Решенные методички

Контрольная работа 5 Вариант 5 часть 2 Омский государственный университет путей сообщения Математика, Омск 2016


    100 руб.
  •        Единица: шт.
  •        Размер файла (.doc): 146.5Kb
  • Теги: ОмГУПС, математика, Контрольная работа 5, вариант5
    Чтобы получить решение задачи: 1) Нажмите "справа" на кнопку "Купить задачу"Купить задачу сейчас
    2) Выбираете один из удобных способов оплаты (ЮMoney+Банковская карта RU/РФ, ЮMoney-кошелек (Снижена комиссия) Webmoney WMZ-USD; WMB-белорусские рубли). Для Казахстана оплата переводом на карту Каспи или Halyk.
    3) Укажите E-Mail, на него придет ссылка на скачивание оплаченной задачи.
    4) Нажмите на «Оформить заказ», затем «Перейти к оплате»

    Перед покупкой задачи рекомендуем Вам ознакомиться с Примерами решений
    Бесплатные решенные примеры по высшей математике
    Пробная покупка "тестовой задачи" магазина за 3 руб. (проверка оплаты/доставки) и инструкция по оплате через Webmoney, ЮMoney+Банковская карта RU/РФ. Перейти на страницу
    Помимо решений в Word'е, также в e-mail-рассылку входят решения купленных задач в PDF формате для удобства просмотра на смартфонах и планшетах. Письма на e-mail приходят с темой "Заказ xxxxx"
Купить задачу
  • Описание

ВУЗ: Омский государственный университет путей сообщения
Высшая математика. Часть 2: Учебно-методическое пособие для студентов заочного факультета., Омск 2016
Методичка по математике Омский государственный университет путей сообщения Скачать файл
Решенные задания
Контрольная работа 5
Неопределенный и определенный интегралы
Вариант 5

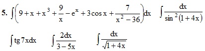
Задача 1.Найти неопределенные интегралы с использованием таблицы интегралов, основных правил интегрирования и правила о линейной замене.


Задача 2. Найти неопределенные интегралы методом замены переменной или интегрирования по частям.


Задача 3. Найти неопределенный интеграл от рациональной дроби.


Задача 4. Найти площадь фигуры, ограниченной заданными линиями.
5. y = 4, y = (x – 2)2

Подробное решение. Оформлено в Microsoft Word 2003 (Задание решено с использованием редактора формул)

Если не нашли решение своего варианта, вы можете заказать его у нас.
Решение задачи добавил: Massimo, Вторник, 21.02.2017

Просмотренные ранее товары

Игральная кость подброшена 100 раз Найти вероятность того что «пятерка» выпадет 15 раз
Решенная задача по теории вероятностей и математической статистике. Условие задачи: 941. Игральная кость подброшена 100 раз. Найти вероятность того, что «пятерка» выпадет 15 раз. Подробное решение. Оформлено в Microsoft Word 2003. (Задание решено с исп...
30 руб.

    Маятник совершил 100 полных колебаний при этом его амплитуда уменьшилась в 10 раз Определите логарифмический декремент затухания маятника
    Решенная задача по физике. Раздел: Колебания и волны Условие задачи: Маятник совершил 100 полных колебаний, при этом его амплитуда уменьшилась в 10 раз. Определите логарифмический декремент затухания маятника. Подробное решение. Оформлено в Microsoft W...
    30 руб.

      Определить длины волн де Бройля α-частицы и протона прошедших одинаковую ускоряющую разность потенциалов U=1 кВ
      Решенная задача по физике. Раздел: Квантовая, ядерная физика Условие задачи: Определить длины волн де Бройля α-частицы и протона, прошедших одинаковую ускоряющую разность потенциалов U=1 кВ. Подробное решение. Оформлено в Microsoft Word 2003. (Задание ...
      30 руб.

        Контрольная работа 6 Вариант 4 часть 2 Омский государственный университет путей сообщения Математика, Омск 2016
        ВУЗ: Омский государственный университет путей сообщения Высшая математика. Часть 2: Учебно-методическое пособие для студентов заочного факультета., Омск 2016 Методичка по математике Омский государственный университет путей сообщения Скачать файл Решенн...
        80 руб.

          Заказ N0052 Математика контрольные задания (решение индивидуальных заданий по математике)
          Решенная на заказ контрольная работа по математике Вариант 3. 1. Вычислить определитель 2. Найти матрицу C−1, Обратную к матрице C = ABT + 3E 3. Найти значение многочлена f(x) = x2 – 2x + 3 от матрицы 4. Решить матричное уравнение 5. Решить систему а) ...
          320 руб.
            Корзина
            Ваша корзина пуста
            Валюта

            • 1 руб. = 5.000₸
            • 10 руб. = 0.100 $
            Поиск в магазине
            Группа Vk.com Рынок цифровых товаров plati.market, игры, игровые аккаунты, itunes, appstore, xbox, steam, ключи, пин-коды Сертификат Webmoney www.webmoney.ru

            Пользовательское соглашение | Договор оферты  ЭЙНФЕЛЬД ЛОЛИТА РИЧАРДОВНА ИНН 502205387028
            Решение контрольных работ по высшей математике
            Fizmathim.ru © 2013 - 2026


            Visa, MasterCard, Мир
            Рейтинг@Mail.ru