Контакты E-Mail: PMaxim2006@mail.ru Lolita.Einfeld@yandex.ru VK: id197545744 Instagram: @math_example

Решение задач и примеров

Информация
18.03.2024
Инструкция как оплачивать картой Каспи или Halyk для Казахстана
Прочитать инструкцию

18.03.2024
При добавлении товаров в корзину на сумму от 200 до 500 руб. и оформлении заказа активируется 5 % скидка на оплату, на сумму от 500 руб. активируется 10 % скидка на оплату

22.10.2022
Для Беларуси возможно оплачивать только банковской картой выпущенной в России или картой Белкарт МИР.
Также для Беларуси можно оплачивать Банковской картой Белкарт МИР или картой выпущенной в РФ, ЮMoney перейдя в раздел Решения заданий (digiseller) в меню сайта

23.08.2021
ЮMoney+Банковская карта. Принимаются виды оплат: Карты RU/РФ, ЮMoney-кошелек (Снижена комиссия)
Оплата картой Каспи или Halyk для Казахстана, пишите на почтовый ящик pmaxim2006@mail.ru

23.08.2021
В Digiseller можно найти все решения, что и на fizmathim.ru Перейти в Магазин на Digiseller
Можно воспользоваться формой поиска по первым 3-4 словам. Способы оплаты: Банковская карта (RU/РФ), ЮMoney, Webmoney, Unionpay, Alipay, Скины Steam

26.04.2019
- Все задачи оформлены в текстовом редакторе Microsoft Word, в PDF формате рассылаются решения отдельно.

- Ссылки действительны в течение 24 часов до первой попытки скачать (90 минут с момента первого скачивания).

05.02.2019
- Ссылка на скачивание задач, приходит на указанный вами почтовый ящик при оформлении заказа и его оплаты. Дополнительная рассылка оплаченных заказов на E-mail производится в течение нескольких минут/часов, тема писем имеет вид "Заказ xxxxx".
Форма входа
Главная Магазин готовых задач Решаем на заказ Контрольные на заказ

Заказ N0052 Математика контрольные задания (решение индивидуальных заданий по математике)


    320 руб.
  •        Единица: шт.
  •        Размер файла (.doc): 550.0Kb

  • Чтобы получить решение задачи: 1) Нажмите "справа" на кнопку "Купить задачу"Купить задачу сейчас
    2) Выбираете один из удобных способов оплаты (ЮMoney+Банковская карта RU/РФ, ЮMoney-кошелек (Снижена комиссия) Webmoney WMZ-USD; WMB-белорусские рубли). Для Казахстана оплата переводом на карту Каспи или Halyk.
    3) Укажите E-Mail, на него придет ссылка на скачивание оплаченной задачи.
    4) Нажмите на «Оформить заказ», затем «Перейти к оплате»

    Перед покупкой задачи рекомендуем Вам ознакомиться с Примерами решений
    Бесплатные решенные примеры по высшей математике
    Пробная покупка "тестовой задачи" магазина за 3 руб. (проверка оплаты/доставки) и инструкция по оплате через Webmoney, ЮMoney+Банковская карта RU/РФ. Перейти на страницу
    Помимо решений в Word'е, также в e-mail-рассылку входят решения купленных задач в PDF формате для удобства просмотра на смартфонах и планшетах. Письма на e-mail приходят с темой "Заказ xxxxx"
Купить задачу
  • Описание

Решенная на заказ контрольная работа по математике

Вариант 3.

1. Вычислить определитель


2. Найти матрицу C−1, Обратную к матрице C = ABT + 3E


3. Найти значение многочлена f(x) = x2 – 2x + 3 от матрицы


4. Решить матричное уравнение


5. Решить систему
а) методом Крамера
б) используя обратную матрицу
с) методом Жордана – Гаусса


6. Написать разложение x по векторам p, q, r
x = {1, −4, 4}
p = {2, 1, −1}
q = {0, 3, 2}
r = {1, −1, 1}

7. Коллинеарны ли векторы c1 и c2, построенные по векторам a и b
a = {−2, 4, 1}, b = {1, −2, 7}, c1 = 5a + 3b, c2 = 2a – b

8. Найти косинус угла между сторонами AB, AC и площадь треугольника ABC
A(3, 3, −1); B(5, 5, −2); C(4, 1, 1)

9. Вычислить площадь параллелограмма, построенного на векторах a и b
a = p – 3q, b = p + 2q, |p| = 0,2, |q| = 1, (p,q) = π/2

10. Вычислить объем тетраэдра с вершинами в точках A(7, 2, 4); B(7, −1, −2); C(3, 3, 1); Д(−4, 2, 1) и его высоту, опущенную из вершины Д на грань ABC.

11. Найти расстояние от точки M0 до плоскости, проходящей через три точки M1, M2, M3
M1(0, −1, −1), M2(−2, 3, 5), M3(1, −5, −9), M0(−4, −13, 6)

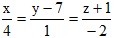
12. Написать уравнение плоскости, проходящей через точку A(1, 0, 2) перпендикулярно прямой

13. Найти косинус угла между плоскостями 2x – y + 5 = 0, x – y + 15z – 16 = 0

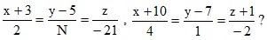
14. При каком значении N прямые перпендикулярны

15. Через прямую провести плоскость, параллельную прямой x = 2y = 3z

Подробное решение. Оформлено в Microsoft Word 2003 (Задание решено с использованием редактора формул)
Решение подобного задания, вы можете заказать у нас
Решение задачи добавил: Massimo, Среда, 13.09.2017

Просмотренные ранее товары

Определить постоянную радиоактивного распада радия 22688Ra Какая доля от первоначального числа атомов распадается за 3100 лет
Решенная задача по физике. Раздел: Квантовая, ядерная физика Условие задачи: Определить постоянную радиоактивного распада радия 22688Ra. Какая доля от первоначального числа атомов распадается за 3100 лет? Подробное решение. Оформлено в Microsoft Word 2...
30 руб.

    Протон имеет импульс р = 938 МэВ/с Какую кинетическую энергию необходимо дополнительно сообщить протону чтобы его импульс возрос вдвое
    Решенная задача по физике. Раздел: Элементы теории относительности Условие задачи: Протон имеет импульс р = 938 МэВ/с. Какую кинетическую энергию необходимо дополнительно сообщить протону, чтобы его импульс возрос вдвое? Подробное решение. Оформлено в ...
    30 руб.

      Вычислить по теории Бора радиус второй стационарной боровской орбиты и скорость электрона на этой орбите для двухзарядного иона лития Z = 3
      Решенная задача по физике. Раздел: Квантовая, ядерная физика Условие задачи: Вычислить по теории Бора радиус второй стационарной (боровской) орбиты и скорость электрона на этой орбите для двухзарядного иона лития (Z = 3). Подробное решение. Оформлено в...
      30 руб.

        Телеграфная станция передает текст В силу наличия помех каждый знак может быть неправильно принят с вероятностью 0,01 Найти вероятность того что в принятом тексте содержащем 1000 знаков будет
        Решенная задача по теории вероятностей и математической статистике. Условие задачи: 408. Телеграфная станция передает текст. В силу наличия помех каждый знак может быть неправильно принят с вероятностью 0,01. Найти вероятность того, что в принятом текс...
        30 руб.

          Стрелок попадает в цель вероятностью 0,8 Какова вероятность поражения цели при пяти выстрелах
          Решенная задача по теории вероятностей и математической статистике. Условие задачи: 2259. Стрелок попадает в цель вероятностью 0,8. Какова вероятность поражения цели при пяти выстрелах. Подробное решение. Оформлено в Microsoft Word 2003. (Задание решен...
          30 руб.
            Корзина
            Ваша корзина пуста
            Валюта

            • 1 руб. = 5.000₸
            • 10 руб. = 0.100 $
            Поиск в магазине
            Группа Vk.com Рынок цифровых товаров plati.market, игры, игровые аккаунты, itunes, appstore, xbox, steam, ключи, пин-коды Сертификат Webmoney www.webmoney.ru

            Пользовательское соглашение | Договор оферты  ЭЙНФЕЛЬД ЛОЛИТА РИЧАРДОВНА ИНН 502205387028
            Решение контрольных работ по высшей математике
            Fizmathim.ru © 2013 - 2026


            Visa, MasterCard, Мир
            Рейтинг@Mail.ru