Контакты E-Mail: PMaxim2006@mail.ru Lolita.Einfeld@yandex.ru VK: id197545744 Instagram: @math_example

Решение задач и примеров

Информация
18.03.2024
Инструкция как оплачивать картой Каспи или Halyk для Казахстана
Прочитать инструкцию

18.03.2024
При добавлении товаров в корзину на сумму от 200 до 500 руб. и оформлении заказа активируется 5 % скидка на оплату, на сумму от 500 руб. активируется 10 % скидка на оплату

22.10.2022
Для Беларуси возможно оплачивать только банковской картой выпущенной в России или картой Белкарт МИР.
Также для Беларуси можно оплачивать Банковской картой Белкарт МИР или картой выпущенной в РФ, ЮMoney перейдя в раздел Решения заданий (digiseller) в меню сайта

23.08.2021
ЮMoney+Банковская карта. Принимаются виды оплат: Карты RU/РФ, ЮMoney-кошелек (Снижена комиссия)
Оплата картой Каспи или Halyk для Казахстана, пишите на почтовый ящик pmaxim2006@mail.ru

23.08.2021
В Digiseller можно найти все решения, что и на fizmathim.ru Перейти в Магазин на Digiseller
Можно воспользоваться формой поиска по первым 3-4 словам. Способы оплаты: Банковская карта (RU/РФ), ЮMoney, Webmoney, Unionpay, Alipay, Скины Steam

26.04.2019
- Все задачи оформлены в текстовом редакторе Microsoft Word, в PDF формате рассылаются решения отдельно.

- Ссылки действительны в течение 24 часов до первой попытки скачать (90 минут с момента первого скачивания).

05.02.2019
- Ссылка на скачивание задач, приходит на указанный вами почтовый ящик при оформлении заказа и его оплаты. Дополнительная рассылка оплаченных заказов на E-mail производится в течение нескольких минут/часов, тема писем имеет вид "Заказ xxxxx".
Форма входа
Главная Магазин готовых задач Высшая Математика Решебник ИДЗ Рябушко ИДЗ Рябушко Вариант 20

ИДЗ 11.4 Вариант 20 решебник ИДЗ Рябушко


    110 руб.
  •        Единица: шт.
  •        Размер файла (.doc): 165.0Kb
  • Теги: вариант 20, готовые задачи, Задания по математике, решения Рябушко, ИДЗ 11.4
    Чтобы получить решение задачи: 1) Нажмите "справа" на кнопку "Купить задачу"Купить задачу сейчас
    2) Выбираете один из удобных способов оплаты (ЮMoney+Банковская карта RU/РФ, ЮMoney-кошелек (Снижена комиссия) Webmoney WMZ-USD; WMB-белорусские рубли). Для Казахстана оплата переводом на карту Каспи или Halyk.
    3) Укажите E-Mail, на него придет ссылка на скачивание оплаченной задачи.
    4) Нажмите на «Оформить заказ», затем «Перейти к оплате»

    Перед покупкой задачи рекомендуем Вам ознакомиться с Примерами решений
    Бесплатные решенные примеры по высшей математике
    Пробная покупка "тестовой задачи" магазина за 3 руб. (проверка оплаты/доставки) и инструкция по оплате через Webmoney, ЮMoney+Банковская карта RU/РФ. Перейти на страницу
    Помимо решений в Word'е, также в e-mail-рассылку входят решения купленных задач в PDF формате для удобства просмотра на смартфонах и планшетах. Письма на e-mail приходят с темой "Заказ xxxxx"
Купить задачу
  • Описание
Сборник индивидуальных заданий по высшей математике Рябушко А.П. Часть 2.
11. Обыкновенные дифференциальные уравнения
11.6 Линейные дифференциальные уравнения высших порядков.
11.7 Системы дифференциальных уравнений.

ИДЗ 11.4 Вариант 20. Решебник Рябушко Часть 2
1. Найти частное решение линейного однородного дифференциального уравнения.
1.20 y΄΄΄− y΄΄+ 4y΄− 4y = 0, y(0) = −1, y΄(0) = 0, y΄΄(0) = −6

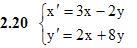
2. Решить систему дифференциальных уравнений двумя способами: а) сведением к дифференциальному уравнению высшего порядка; б) с помощью характеристического уравнения.


3. Решить дифференциальное уравнение методом вариации произвольных постоянных.
3.20 y΄΄+ 4y = tg2x

4. Решить следующие задачи.
4.20 Записать уравнение кривой, для которой произведение абсциссы какой-либо ее точки и длины отрезка, отсекаемого нормалью в этой точке на оси Ox, равно удвоенному квадрату расстояния от этой точки до начала координат.

Подробное решение. Оформлено в Microsoft Word 2003 (Задание решено с использованием редактора формул)
Решение задачи добавил: Massimo, Пятница, 09.05.2014

Просмотренные ранее товары

ИДЗ 4.1 Вариант 4 решебник ИДЗ Рябушко
Сборник индивидуальных заданий по высшей математике Рябушко А.П. Часть 1. 4. Линии и поверхности 4.1 Линии второго порядка. Линии, заданные уравнениями в полярных координатах и параметрическими уравнениями. ИДЗ 4-1 1. Составить канонические уравнения: ...
120 руб.

    На двух шнурах одинаковой длины, равной l=0,8 м подвешены два свинцовых шара массами m1=0,5 кг и m2=1 кг Шары соприкасается между собой Шар меньшей массы отвели в сторону так что шнур отклонился
    На двух шнурах одинаковой длины, равной l=0,8 м, подвешены два свинцовых шара массами m1=0,5 кг и m2=1 кг. Шары соприкасается между собой. Шар меньшей массы отвели в сторону так, что шнур отклонился на угол a=60, и отпустили. На какую высоту поднимутся...
    30 руб.

      Определите время t за которое сила тока замыкания достигнет 0,8 предельного значения если источник ЭДС замыкают на катушку сопротивлением R = 10 Ом и индуктивностью L = 0,1 Гн
      Решенная задача по физике. Раздел: Электромагнетизм Условие задачи: Определите время t, за которое сила тока замыкания достигнет 0,8 предельного значения, если источник ЭДС замыкают на катушку сопротивлением R = 10 Ом и индуктивностью L = 0,1 Гн. Подро...
      20 руб.

        654. Какой объем раствора НNO3 (ω = 10 %, ρ = 1,05 г/см3) потребуется для растворения меди массой 2,5 г.
        654. Какой объем раствора НNO3 (ω = 10 %, ρ = 1,05 г/см3) потребуется для растворения меди массой 2,5 г.
        40 руб.

          Материальная точка массой 0,01 кг совершает гармонические колебания с периодом 2 с Полная энергия колеблющейся точки 10-4 Дж Найти амплитуду колебаний написать уравнение колебаний найти наибольшее
          Решенная задача по физике. Раздел: Колебания и волны Условие задачи: Материальная точка массой 0,01 кг совершает гармонические колебания с периодом 2 с. Полная энергия колеблющейся точки 10-4 Дж. Найти амплитуду колебаний, написать уравнение колебаний,...
          30 руб.
            Корзина
            Ваша корзина пуста
            Валюта

            • 10 руб. = 0.100 $
            • 1 руб. = 5.000₸
            Поиск в магазине
            Группа Vk.com Рынок цифровых товаров plati.market, игры, игровые аккаунты, itunes, appstore, xbox, steam, ключи, пин-коды Сертификат Webmoney www.webmoney.ru

            Пользовательское соглашение | Договор оферты  ЭЙНФЕЛЬД ЛОЛИТА РИЧАРДОВНА ИНН 502205387028
            Решение контрольных работ по высшей математике
            Fizmathim.ru © 2013 - 2025


            Visa, MasterCard, Мир
            Рейтинг@Mail.ru