Контакты E-Mail: PMaxim2006@mail.ru Lolita.Einfeld@yandex.ru VK: id197545744 Instagram: @math_example

Решение задач и примеров

Информация
18.03.2024
Инструкция как оплачивать картой Каспи или Halyk для Казахстана
Прочитать инструкцию

18.03.2024
При добавлении товаров в корзину на сумму от 200 до 500 руб. и оформлении заказа активируется 5 % скидка на оплату, на сумму от 500 руб. активируется 10 % скидка на оплату

22.10.2022
Для Беларуси возможно оплачивать только банковской картой выпущенной в России или картой Белкарт МИР.
Также для Беларуси можно оплачивать Банковской картой Белкарт МИР или картой выпущенной в РФ, ЮMoney перейдя в раздел Решения заданий (digiseller) в меню сайта

23.08.2021
ЮMoney+Банковская карта. Принимаются виды оплат: Карты RU/РФ, ЮMoney-кошелек (Снижена комиссия)
Оплата картой Каспи или Halyk для Казахстана, пишите на почтовый ящик pmaxim2006@mail.ru

23.08.2021
В Digiseller можно найти все решения, что и на fizmathim.ru Перейти в Магазин на Digiseller
Можно воспользоваться формой поиска по первым 3-4 словам. Способы оплаты: Банковская карта (RU/РФ), ЮMoney, Webmoney, Unionpay, Alipay, Скины Steam

26.04.2019
- Все задачи оформлены в текстовом редакторе Microsoft Word, в PDF формате рассылаются решения отдельно.

- Ссылки действительны в течение 24 часов до первой попытки скачать (90 минут с момента первого скачивания).

05.02.2019
- Ссылка на скачивание задач, приходит на указанный вами почтовый ящик при оформлении заказа и его оплаты. Дополнительная рассылка оплаченных заказов на E-mail производится в течение нескольких минут/часов, тема писем имеет вид "Заказ xxxxx".
Форма входа
Главная Магазин готовых задач Высшая Математика Решебник ИДЗ Рябушко ИДЗ Рябушко Вариант 6

ИДЗ 12.1 Вариант 6 решебник ИДЗ Рябушко


    120 руб.
  •        Единица: шт.
  •        Размер файла (.doc): 155.5Kb
  • Теги: вариант 6, ИДЗ 12.1, готовые задачи, Задания по математике, решения Рябушко
    Чтобы получить решение задачи: 1) Нажмите "справа" на кнопку "Купить задачу"Купить задачу сейчас
    2) Выбираете один из удобных способов оплаты (ЮMoney+Банковская карта RU/РФ, ЮMoney-кошелек (Снижена комиссия) Webmoney WMZ-USD; WMB-белорусские рубли). Для Казахстана оплата переводом на карту Каспи или Halyk.
    3) Укажите E-Mail, на него придет ссылка на скачивание оплаченной задачи.
    4) Нажмите на «Оформить заказ», затем «Перейти к оплате»

    Перед покупкой задачи рекомендуем Вам ознакомиться с Примерами решений
    Бесплатные решенные примеры по высшей математике
    Пробная покупка "тестовой задачи" магазина за 3 руб. (проверка оплаты/доставки) и инструкция по оплате через Webmoney, ЮMoney+Банковская карта RU/РФ. Перейти на страницу
    Помимо решений в Word'е, также в e-mail-рассылку входят решения купленных задач в PDF формате для удобства просмотра на смартфонах и планшетах. Письма на e-mail приходят с темой "Заказ xxxxx"
Купить задачу
  • Описание
Сборник индивидуальных заданий по высшей математике Рябушко А.П. Часть 3.
12. Ряды
12.1 Числовые ряды. Признаки сходимости числовых рядов.

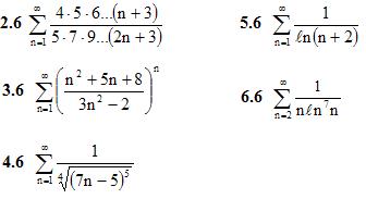
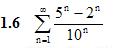
ИДЗ 12.1 Вариант 6. Решебник Рябушко Часть 3
1. Доказать сходимость ряда и найти его сумму


2. Исследовать на сходимость указанные ряды с положительными членами.(2-6)


Исследовать на сходимость и абсолютную сходимость знакочередующиеся ряды. (7-8).


Подробное решение. Оформлено в Microsoft Word 2003 (Задание решено с использованием редактора формул)
Решение задачи добавил: Massimo, Суббота, 26.07.2014

Просмотренные ранее товары

Для какого значения проекции скорости υx плотность вероятности обнаружения молекул гелия одинакова при температурах T1 = 300 К и T2 = 1200 К
Решенная задача по физике. Раздел: Молекулярная физика и термодинамика Условие задачи: Для какого значения проекции скорости υx плотность вероятности обнаружения молекул гелия одинакова при температурах T1 = 300 К и T2 = 1200 К? Подробное решение. Офор...
30 руб.

    На край тележки длиной l =1,8 м движущейся горизонтально с ускорением а = 2,1 м/с2 положили брусок Определите за какое время t брусок соскользнет с доски если коэффициент трения между бруском и
    Решенная задача по физике. Раздел: Кинематика, механика, динамика Условие задачи: На край тележки длиной l =1,8 м, движущейся горизонтально с ускорением а = 2,1 м/с2, положили брусок. Определите, за какое время t брусок соскользнет с доски, если коэффи...
    30 руб.

      Волна распространяется по прямой со скоростью 20 м/с Две точки находящиеся на этой прямой на расстоянии 12 и 15 м от источника колебаний колеблются по закону синуса с амплитудами равными 0,1 м
      Решенная задача по физике. Раздел: Колебания и волны Условие задачи: Волна распространяется по прямой со скоростью 20 м/с. Две точки, находящиеся на этой прямой на расстоянии 12 и 15 м от источника колебаний, колеблются по закону синуса с амплитудами, ...
      30 руб.

        Два разноименных заряда 2•10-8 Кл находятся друг от друга на расстоянии 5 см Третий заряд 5•10-5 Кл удален от положительного на расстояние 3 см (см.рис.) Каковы величины и направление действия силы
        Два разноименных заряда 2×10-8 Кл находятся друг от друга на расстоянии 5 см. Третий заряд 5×10-5 Кл удален от положительного на расстояние 3 см (см.рис.). Каковы величины и направление действия силы на третий заряд? Подробное решение. Оформлено в Micr...
        30 руб.

          Пройдя ускоряющую разность потенциалов U=3,25 кВ заряженная частица влетает в однородное магнитное поле с индукцией 0,01 Тл перпендикулярно линиям индукции и движется по дуге окружности радиусом 2 см
          Решенная задача по физике. Раздел: Магнетизм. Электромагнетизм Условие задачи: Пройдя ускоряющую разность потенциалов U=3,25 кВ, заряженная частица влетает в однородное магнитное поле с индукцией 0,01 Тл перпендикулярно линиям индукции и движется по ду...
          30 руб.
            Корзина
            Ваша корзина пуста
            Валюта

            • 1 руб. = 5.000₸
            • 10 руб. = 0.100 $
            Поиск в магазине
            Группа Vk.com Рынок цифровых товаров plati.market, игры, игровые аккаунты, itunes, appstore, xbox, steam, ключи, пин-коды Сертификат Webmoney www.webmoney.ru

            Пользовательское соглашение | Договор оферты  ЭЙНФЕЛЬД ЛОЛИТА РИЧАРДОВНА ИНН 502205387028
            Решение контрольных работ по высшей математике
            Fizmathim.ru © 2013 - 2025


            Visa, MasterCard, Мир
            Рейтинг@Mail.ru