Контакты E-Mail: PMaxim2006@mail.ru Lolita.Einfeld@yandex.ru VK: id197545744 Instagram: @math_example

Решение задач и примеров

Информация
18.03.2024
Инструкция как оплачивать картой Каспи или Halyk для Казахстана
Прочитать инструкцию

18.03.2024
При добавлении товаров в корзину на сумму от 200 до 500 руб. и оформлении заказа активируется 5 % скидка на оплату, на сумму от 500 руб. активируется 10 % скидка на оплату

22.10.2022
Для Беларуси возможно оплачивать только банковской картой выпущенной в России или картой Белкарт МИР.
Также для Беларуси можно оплачивать Банковской картой Белкарт МИР или картой выпущенной в РФ, ЮMoney перейдя в раздел Решения заданий (digiseller) в меню сайта

23.08.2021
ЮMoney+Банковская карта. Принимаются виды оплат: Карты RU/РФ, ЮMoney-кошелек (Снижена комиссия)
Оплата картой Каспи или Halyk для Казахстана, пишите на почтовый ящик pmaxim2006@mail.ru

23.08.2021
В Digiseller можно найти все решения, что и на fizmathim.ru Перейти в Магазин на Digiseller
Можно воспользоваться формой поиска по первым 3-4 словам. Способы оплаты: Банковская карта (RU/РФ), ЮMoney, Webmoney, Unionpay, Alipay, Скины Steam

26.04.2019
- Все задачи оформлены в текстовом редакторе Microsoft Word, в PDF формате рассылаются решения отдельно.

- Ссылки действительны в течение 24 часов до первой попытки скачать (90 минут с момента первого скачивания).

05.02.2019
- Ссылка на скачивание задач, приходит на указанный вами почтовый ящик при оформлении заказа и его оплаты. Дополнительная рассылка оплаченных заказов на E-mail производится в течение нескольких минут/часов, тема писем имеет вид "Заказ xxxxx".
Форма входа
Главная Магазин готовых задач Высшая Математика Решебник ИДЗ Рябушко ИДЗ Рябушко Вариант 22

ИДЗ 12.1 Вариант 22 решебник ИДЗ Рябушко


    120 руб.
  •        Единица: шт.
  •        Размер файла (.doc): 163.0Kb
  • Теги: вариант 22, ИДЗ 12.1, готовые задачи, Задания по математике, решения Рябушко
    Чтобы получить решение задачи: 1) Нажмите "справа" на кнопку "Купить задачу"Купить задачу сейчас
    2) Выбираете один из удобных способов оплаты (ЮMoney+Банковская карта RU/РФ, ЮMoney-кошелек (Снижена комиссия) Webmoney WMZ-USD; WMB-белорусские рубли). Для Казахстана оплата переводом на карту Каспи или Halyk.
    3) Укажите E-Mail, на него придет ссылка на скачивание оплаченной задачи.
    4) Нажмите на «Оформить заказ», затем «Перейти к оплате»

    Перед покупкой задачи рекомендуем Вам ознакомиться с Примерами решений
    Бесплатные решенные примеры по высшей математике
    Пробная покупка "тестовой задачи" магазина за 3 руб. (проверка оплаты/доставки) и инструкция по оплате через Webmoney, ЮMoney+Банковская карта RU/РФ. Перейти на страницу
    Помимо решений в Word'е, также в e-mail-рассылку входят решения купленных задач в PDF формате для удобства просмотра на смартфонах и планшетах. Письма на e-mail приходят с темой "Заказ xxxxx"
Купить задачу
  • Описание
Сборник индивидуальных заданий по высшей математике Рябушко А.П. Часть 3.
12. Ряды
12.1 Числовые ряды. Признаки сходимости числовых рядов.

ИДЗ 12.1 Вариант 22. Решебник Рябушко Часть 3
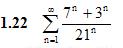
1. Доказать сходимость ряда и найти его сумму


2. Исследовать на сходимость указанные ряды с положительными членами.(2-6)


Исследовать на сходимость и абсолютную сходимость знакочередующиеся ряды. (7-8).


Подробное решение. Оформлено в Microsoft Word 2003 (Задание решено с использованием редактора формул)
Решение задачи добавил: Massimo, Суббота, 26.07.2014

Просмотренные ранее товары

ИДЗ 12.1 Вариант 1 решебник ИДЗ Рябушко
Сборник индивидуальных заданий по высшей математике Рябушко А.П. Часть 3. 12. Ряды 12.1 Числовые ряды. Признаки сходимости числовых рядов. ИДЗ 12.1 Вариант 1. Решебник Рябушко Часть 3 1. Доказать сходимость ряда и найти его сумму 2. Исследовать на сход...
120 руб.

    ИДЗ 12.1 Вариант 14 решебник ИДЗ Рябушко
    Сборник индивидуальных заданий по высшей математике Рябушко А.П. Часть 3. 12. Ряды 12.1 Числовые ряды. Признаки сходимости числовых рядов. ИДЗ 12.1 Вариант 14. Решебник Рябушко Часть 3 1. Доказать сходимость ряда и найти его сумму 2. Исследовать на схо...
    120 руб.

      ИДЗ 11.3 Вариант 21 решебник ИДЗ Рябушко
      Сборник индивидуальных заданий по высшей математике Рябушко А.П. Часть 2. 11. Обыкновенные дифференциальные уравнения 11.6 Линейные дифференциальные уравнения второго порядка. ИДЗ 11.3 Вариант 21. Решебник Рябушко Часть 2 1. Найти общее решение диффере...
      110 руб.
        Корзина
        Ваша корзина пуста
        Валюта

        • 1 руб. = 5.000₸
        • 10 руб. = 0.100 $
        Поиск в магазине
        Группа Vk.com Рынок цифровых товаров plati.market, игры, игровые аккаунты, itunes, appstore, xbox, steam, ключи, пин-коды Сертификат Webmoney www.webmoney.ru

        Пользовательское соглашение | Договор оферты  ЭЙНФЕЛЬД ЛОЛИТА РИЧАРДОВНА ИНН 502205387028
        Решение контрольных работ по высшей математике
        Fizmathim.ru © 2013 - 2026


        Visa, MasterCard, Мир
        Рейтинг@Mail.ru